1. A cuboidal beaker is half filled with water. By what percent will the hydrostatic force on one of the vertical sides of the beaker increase if it is completely filled?
a) 100
b) 200
c) 300
d) 400
Explanation: Hydrostatic force per unit width on a vertical side of a beaker = 1 ⁄ 2 * ρgh2, where ρ = density of the liquid and h= height of liquid column. The hydrostatic force when the beaker is completely filled = 1 ⁄ 2 ρg(2h)2 = 2ρgh2. Thus, percentage increase in hydrostatic force =
= 300%.
2. By what factor will the hydrostatic force on one of the vertical sides of a beaker decrease if the height of the liquid column is halved?
a) 1 ⁄ 2
b) 1 ⁄ 3
c) 1 ⁄ 4
d) 2 ⁄ 3
Explanation: Hydrostatic force per unit width on a vertical side of a beaker = 1 ⁄ 2 * ρgh2, where ρ = density of the liquid and h= height of liquid column. Thus, if the liquid column is halved, the hydrostatic force on the vertical face will become one-fourth
3.Equal volume of two liquids of densities ρ1 and ρ2 are poured into two identical cuboidal beakers. The hydrostatic forces on the respective vertical face of the beakers are F1 and F2 respectively. If ρ1 > ρ2, which one will be the correct relation between F1 and F2?
a) F1 > F2
b) F1 ≥ F2
c) F1 < F2
d) F1 ≤ F2
Explanation: Hydrostatic force per unit width on a vertical side of a beaker = 1 ⁄ 2 * ρgh2, where ρ = density of the liquid and h= height of liquid column. Thus if ρ1 > ρ2, F1 > F2 and F1 ≠ F2, when the h is constant.
4. Which of the following is the correct relation between centroid (G) and the centre of pressure (P) of a plane submerged in a liquid?
a) G is always below P
b) P is always below G
c) G is either at P or below it.
d) P is either at G or below it.
Explanation: The depth of the centroid y and the centre of pressure yCP are related by:

where I = the moment of inertia and A= area. None of the quantities I, A and y can be negative. Thus, YCP > y. For horizontal planes, I = 0, hence YCP = y
5. A beaker contains water up to a height of h. What will be the location of the centre of pressure?
a) h⁄3 from the surface
b) h⁄2 from the surface
c) 2h⁄3 from the surface
d) h⁄6 from the surface
Explanation: The depth of the centroid y and the centre of pressure yCP are related by:

where I = the moment of inertia and A = area. If y = h ⁄ 2; I = bh3/12 ;A = bh, then

6. A cubic tank is completely filled with water. What will be the ratio of the hydrostatic force exerted on the base and on any one of the vertical sides?
a) 1:1
b) 2:1
c) 1:2
d) 3:2
Explanation:Hydrostatic force per unit width on a vertical side of a beaker Fv = 1 ⁄ 2 * ρgh2, where ρ = density of the liquid and h= height of the liquid column. Hydrostatic force per unit width on the base of the beaker = Fb = ρgh * h = ρgh2. Thus, Fb : Fv = 2 : 1.
7. A rectangular lamina of width b and depth d is submerged vertically in water, such that the upper edge of the lamina is at a depth h from the free surface. What will be the expression for the depth of the centroid (G)?
a) h
b) h + d
c) h + d ⁄ 2
d) h + d / 2
Explanation: The centroid of the lamina will be located at it’s centre. ( d ⁄ 2). Thus, the depth of the centre of pressure will be h + d ⁄ 2.
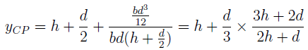
8. A rectangular lamina of width b and depth d is submerged vertically in water, such that the upper edge of the lamina is at a depth h from the free surface. What will be the expression for the depth of the centre of pressure?
a) \(h + \frac{d}{3} × \frac{2h+d}{3h+2d}\)
b) \(h + \frac{d}{6} × \frac{3h+2d}{h+2d}\)
c) \(h + \frac{d}{3} × \frac{3h+2d}{2h+d}\)
d) \(h + \frac{d}{3} × \frac{3h+2d}{h+d}\)
Explanation: The depth of the centroid y and the centre of pressure yCP are related by:

where I = the moment of inertia and A = area. If y = h + d ⁄ 2; I = bh3/12 ;A = bd. thus,

9. A square lamina (each side equal to 2m) is submerged vertically in water such that the upper edge of the lamina is at a depth of 0.5 m from the free surface. What will be the total water pressure (in kN) on the lamina?

a) 19.62
b) 39.24
c) 58.86
d) 78.48
Explanation: Total liquid pressure on the lamina = F = γyA, where γ = specific weight of the liquid, y = depth of centroid of the lamina from the free surface, A= area of the centroid. Now, γ = 9:81 * 103 N / m3; y = 0.5 + 1 ⁄ 2 * 2m = 1.5 m, A = 2 * 2 m2 = 4 m2. Hence, F = 58.86 kN.
10. A square lamina (each side equal to 2m) with a central hole of diameter 1m is submerged vertically in water such that the upper edge of the lamina is at a depth of 0.5 m from the free surface. What will be the total water pressure (in kN) on the lamina?

a) 15.77
b) 31.54
c) 47.31
d) 63.08
Explanation: Total liquid pressure on the lamina = F = γyA, where γ = specific weight of the liquid, y = depth of centroid of the lamina from the free surface, A= area of the centroid. Now, γ = 9:81 * 103 N / m3; y = 0.5 + 1 ⁄ 2 * 2m = 1.5 m, A = 2 * 2 – π ⁄ 4 * 12 m2 = 3.215 m2 Hence, F = 47.31 kN.