1. If the pressure at a point is 1m of water, what will be it’s value in terms of m of oil? (Take, the specific gravity of oil to be 0.8)
a) 0.8
b) 1
c) 1.25
d) 2.5
Explanation: Pressure at a point P is equal to ρgh, where ρ is the density and h is the height of the liquid column. Therefore, ρwater * 1 * g = ρoil * h * g, where h is the pressure in terms of m of oil.
Thus, h = ρwater / ρoil = 1/0.8 = 1.25.
2. A cuboidal container (each side of 30 cm0) is completely filled with water. A is a point, 25 cm above the base such that the pressure at point A is P. At what height (in cm) from the base will the pressure be 2P?
a) 20
b) 15
c) 12.5
d) 10
Explanation: Pressure at a point P is equal to ρgh, where ρ is the density and h is the height of the liquid column from the top. Thus, ρ * g *(30 – h) = 2 * ρ * g *( 30-25), where h from the base where the pressure will be 2P. Thus, h = 30 – 2(30 – 25) = 20.
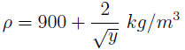
3. A closed tank (of height 5 m) is PArtially filled with a liquid as shown. If the pressure of the air above the fluid is 2 bar, find the pressure at the bottom of the tank. Assume the density of the liquid to vary according to the following relation:

where y is the height from the base
a) 2.12
b) 2.15
c) 2.18
d) 2.5
Explanation: The change of pressure P with vertical direction y is given by
4. A beaker is filled with a liquid of specific gravity S = 1:2 as shown. What will be the pressure difference (in kN/m2) between the two points A and B, 30 cm below and 10 cm to the right of point A?
a) 2.5
b) 3.5
c) 4.5
d) 5.5
Explanation: Pressure increases in the vertically downward direction but remains constant in the horizontal direction. Thus,
PB = PA + ρgh
where PB = Pressure at B, PA = Pressure at A, ρ = density of the liquid, g = acceleration due to gravity and h = vertical distance separating the two points.
PB – PA = 1:2 * 103 * 9.81 * 0.3 N/m2 = 3.53 kN/m2
5. The arm of a teapot is 10 cm long and inclined at an angle of 60o to the vertical. The center of the arm base is 2 cm above the base of the beaker. Water is poured into the beaker such that half the arm is filled with it. What will be the pressure at the base of the beaker if the atmospheric pressure is 101.3 kPa?
a) 101.3
b) 101.5
c) 101.7
d) 101.9
Explanation: Total height of the water in the beaker = 2 + 1⁄2 * 10 cos 60o cm = 4:5 cm. Pressure at the base of the beaker = 101.3 + 103 * 9.81 * 0.045 Pa = 101.3 + 0.44 kPa = 101.74 kPa.
6. A beaker of height 10 cm is half-filled with water (Sw = 1) and half-filled with oil (So = 1). At what distance (in cm) from the base will the pressure be half the pressure at the base of the beaker?
a) 4.375
b) 4.5
c) 5.5
d) 5.625
Explanation: Gauge pressure at the base of the beaker = So * 103 * 0.05 * g + Sw * 103 * 0.05 * g = 882.9Pa. Let the required height be h m from the base.
If 0.05 ≤ h < 0.1,
800(0.1 – h)g = 1⁄2 * 882.9
Thus, h = 0.04375 (out of the range considered).
If 0 < h ≤ 0:05,
800 * 0.05 * g + 103 * (0.05 – h) * g = 1⁄2 * 882.9
Thus, h = 0.045 (in the range considered). Hence, the correct answer will be 45 cm.
7. A beaker of height 30 cm is filled with water (Sw = 1) up to a height of 10 cm. Now oil (So = 0:9) is poured into the beaker till it is completely filled. At what distance (in cm) from the base will the pressure be one-third the pressure at the base of the beaker?
a) 27.33
b) 19.2
c) 10.8
d) 2.67
Explanation: Gauge pressure at the base of the beaker = So * 103 * 0.2 * g + Sw * 103 * 0.1 * g = 2550.6Pa. Let the required height be h m from the base.
If 0.1 ≤ h < 0.3,
800(0.3 – h)g = 1⁄3 * 2550.6
Thus, h = 0.192 (in the range considered).
Even if there’s no need to check for the other range, it’s shown here for demonstration purpose.If
0 < h ≤ 0.1,
800 * 0.2 * g + 103 * (0.2 – h) * g = 1⁄3 * 2550.6
Thus, h = 0.2733 (out of the range considered). Hence, the correct answer will be 19.2 cm.
8. A tank of height 3 m is completely filled with water. Now two-third of the liquid is taken out and an equal amount of two other immiscible liquids of specific gravities 0.8 and 1.2 are poured into the tank. By what percent will the pressure at the base of the tank change?
a) 0%
b) 5%higher
c) 5%lower
d) 10%higher
Explanation: Pressure at the base initially = 1 * 9.81 * 3 = 29.43 kPa; Pressure at the base after adding the other two liquids= 0.8 * 9.81 * 1 + 1 * 9.81 * 1 + 1.2 * 9.81 * 1 kPa; Thus the pressure at the base remains the same.
9. A beaker of height 15 cm is completely filled with water. Now two-third of the liquid is taken out and an equal amount of two other immiscible liquids of specific gravities 0.8 and 1.2 are poured into the tank. What will be the pressure (in kPa) at a point situated at a height, half the height of the beaker?
a) 588.6
b) 637.65
c) 735.75
d) 833.85
Explanation: PA = 0.8 * 103 * 9.81 * 0.05 + 1 * 103 * 9.81 * 0.025 = 637.65 kPa.
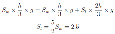
10. A beaker of height h is completely filled with water. Now two-third of the liquid is replaced by another liquid. If the pressure at the base of the beaker doubled, what is the specific gravity of the liquid poured?
a) 0.5
b) 1
c) 2
d) 2.5
Explanation: Pressure at the base initially = Sw * h⁄3 * g; Pressure at the base after pouring the second liquid = Sw * h⁄3 * g + Sl * 2h⁄3 * g, where Sw and Sl are the specific gravities of water and the second liquid.