1. As the pressure increases, rate of flow is ______
a) Maximum
b) Minimum
c) Constant
d) Same
Explanation: As the pressure increases, however these two factors tend to become equal and at a certain optimum pressure rate of flow is maximum.
2. Filter operation should be maintained at a pressure _____
a) Maximum
b) Minimum
c) Optimum
d) Constant
Explanation: Obviously, filter operation should be maintained at a pressure below the optimum, this phenomenon is absent when filtering incompressible sledges.
3. What does the following equation represent?
a) Change in volume
b) Change in area
c) Change in pressure
d) Change of radius
Explanation: The above equation gives the change in pressure, there is a linear relation between V2 and t or between t/V and V.
4. The flow rate of liquid is directly proportional to _____
a) Resistance
b) Peer bar
c) Pressure difference
d) Volume
Explanation: It is seen that the flow rate of liquid is directly proportional to the pressure difference, it is resistance cloth plus the initial layers.
5.Most filter cakes are ______
a) Inelastic
b) Elastic
c) Denser
d) Steeper
Explanation: Most of the cakes are inelastic and the greater resistance offered to flow at a high pressure differences is caused by compact packing.
6. The actual compressive pressure depends on _______
a) Structure of cake
b) Path of flow
c) Length of bed
d) Depth of bed
Explanation: The actual compressive pressure will depend upon the structure of cake and nature of the contact between the particles.
7. As the void age decreases, resistance shows a ______
a) Constant Nature
b) Decrease
c) Increase
d) No change
Explanation: The void age thus decrease from the free surface to the filter medium and the resistance shows a corresponding increase.
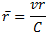
8. The following equation represents the ______
a) Specific ramp
b) Specific radius
c) Specific resistance
d) Specific volume
Explanation: The specific resistance term r ̅ is based on the flow of filtrate through unit mass of cake deposited on unit area.
9.______ is a solid material, finely divided but consisting of hard, strong particles.
a) Filter media
b) Filter aid
c) Filter space
d) Dung
Explanation: Filter aid are used for sludge’s that are difficult to filter, it is a solid material but consists of hard and strong particles.
10. The pressure of filter aid increases the _____
a) Porosity
b) Density
c) Velocity
d) Stativity
Explanation: The pressure of filter aid increases the porosity of the sludge, decreases its compressibility and reduces the resistance of the cake during filtration.