1. What does the following equation represents?
Q= K1 ND3
a) Flow of impellor
b) Discharge
c) Velocity
d) Density
Explanation: The quantity of flow is defined as the amount of fluid which moves axially or radially away from the impellor at the surface area of rotation.
2. What does the following equation represents?
P=QρH
a) Density
b) Discharge
c) Velocity
d) Power
Explanation:The power requirements cannot always be calculated for a system with great degree of reliability, thus the following equation can be used.
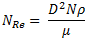
3. What does the below equation represent?
a) Schmidt number of mixing
b) Froude number of mixing
c) Reynold’s number of mixing
d) Dom number of mixing
Explanation:The following represents the Reynold’s number for mixing, where N is the impellor rotational speed and D is the impellor diameter.
4. What does the following represents?
a) Schmidt number of mixing
b) Froude number of mixing
c) Reynold’s number of mixing
d) Dom number of mixing
Explanation: The following represents the Froude number for mixing, where N is the impellor rotational speed and g is the gravitational constant 32.2 ft/sec2.
5.What does the below equation represent?
a) Schmidt number
b) Froude number
c) Reynold’s number
d) Power number
Explanation:The power number PO is used in most of the correlations to represent the relationship to system performance
6. What does the following represents?
a) Entrainment
b) Flow rate
c) Discharge
d) Throttle
Explanation: From a propeller, the entrainment by the circular jet is given by the above equation, where X is the distance from impellor source not to exceed 100 jet diameters.
7. The maximum Q/p1/3 for a circular jet is at X= _________
a) 1.71D0
b) 2.5D0
c) 7D0
d) 8.5D0
Explanation: The maximum Q/p1/3 for a circular jet is at X=1.71D0 or in other word the optimum jet origin diameter is 1/17.1 of the distance desired for effective entrainment
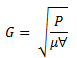
8. What does the below equation represent?
a) Velocity gradient
b) Gravity
c) Centrifugal force
d) Exhaust force
Explanation: The above equation represents the velocity gradient, where P is the power dissipated and other terms are dynamic viscosity and volume
9. As the velocity gradient increases, the shear force _______
a) Decreases
b) Increases
c) Remains same
d) Constant
Explanation: We know that the rate of particulate collision the rate is directly proportional to the velocity gradient, G must be sufficient to furnish desired rate.
10. Calculate G, if two mercury particles are moving at 2 m/sec to each other at a distance of 10 m?
a) 0.2
b) 5
c) 0.5
d) 2
Explanation: We know that G= (2 m/sec) / (10 m) = 0.2 sec-1.