1. In a pug mill, mixing is done by ______
a) Blades
b) Knives
c) Blades or knives
d) Chipper
Explanation: In a pug mill mixing is done by blades of knives set in a helical pattern on a horizontal shaft in an open trough.
2. Machines with light weight, requires _____
a) Less power
b) More power
c) Depends on time
d) Can’t be specified
Explanation: Machines which a right in weight waste less energy than heavier machines, other being equal or same.
3. What does the below equation represent?
a) Standard deviation
b) Mean deviation
c) Entity relation
d) Mass distribution
Explanation: If product were perfectly mixed, every measured value of Xi would be equal to x, this deviation from measured value is given by above equation.
4. As value of S diminishes, mixing _______
a) Stops
b) Retards
c) Proceeds
d) No change
Explanation:The value of S is a relative measure of mixing valid only for a test of a specific material in a specific mixer.
5. What does the below equation represent?
a) First layer analysis
b) Final layer analysis
c) Mid mixing result
d) Mean deviation
Explanation: Before mixing begins, the material in the mixer exists in two layer, one of which contain no tracer material an done which contain only tracer, the above equation gives values for 1st analysis.
6. What does the below equation represent?
a) Mixing index of pastes
b) Partial mixing index
c) Pure mixing index
d) Point mixing
Explanation: The above equation represents the mixing index for pastes and where µ is the overall friction factor of tracer in the mix.
7. In any batch mixing process, Ip is ____ at start.
a) Unity
b) Infinite
c) Zero
d) Can’t b specified
Explanation: In a batch process mixing index is unity at the start and increases as mixing proceds, and become not infinite after a time.
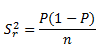
8. What does the following represents?
a) Degree of deviation
b) Degree of mixing
c) Degree of particles
d) Speed of mixing
Explanation: The above equation represents the degree of mixing, where Sr ¬is the variance of the mixture, n is number of solid in each sample.
9. For a completely unmixed material _______
a) P (1-n)
b) P (1-P)
c) n (1-p)
d) P (1-P)
Explanation: In a completely randomized material, S2 will be greater and in a completely unmixed system P(1-P) follows.
10. What does the following represents?
M = 1-e-ct
a) Rate of Medium
b) Degree of mixing
c) Rate of mixing
d) Degree of particles
Explanation: Expressions for rate of mixing can be developed by any one calculation mechanism, this gives the relation between M and t in a general form.