1. As the solids are deposited, the cake resistance will ______
a) Decrease
b) Increase
c) Constant
d) Stable
Explanation: The resistance of filter cake will increase as solids are deposited but the other resistances will remain constant throughout the process.
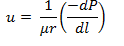
2. What does the below equation represents?
a) Velocity of cake
b) Velocity of filtrate
c) Velocity of discharge
d) Invalid relation
Explanation: If dP is the pressure difference across a small thickness dl of cake, the velocity of flow of the filtrate, where r is specific resistance of filter cake.
3. What is an optimum speed of a basket centrifuge?
a) 100 to 500 rpm
b) 800 to 1800 rpm
c) 1500 to 2000 rpm
d) 200 to 500 rpm
Explanation:The speed of the basket is so high 800 to 1800 rpm and the load great often over 1000 pounds, if the basket shaft on fixed bearings.
4. Centrifuge and automatic discharges are used for ________
a) Crystalline and product removal
b) Amorphous and feed removal
c) Crystalline and feed removal
d) Amorphous and product removal
Explanation: When the centrifuge is used for handling materials as crystalline products, automatic dischargers are used for removing the product.
5.The unloading time depends upon the _________
a) Torque
b) Radial
c) Axial
d) Longitudinal
Explanation: The unloading time depends upon the torque available for turning the basket at unloading speed.
6. The power requirements ________ at unloading.
a) Decrease
b) Increase
c) Constant
d) Stable
Explanation:The power requirements increases during the unloading since power is utilized by the basket as well as the unloader knife.
7. In a conical screen filter, the liquid is impelled through a _________
a) Centrifuge
b) Torque
c) Escaper
d) Desolater
Explanation: When a conical screen is rotated about its axis, centrifuge force will impel a liquid through the openings in the screen.
8. ________ the steepest angle at which a sloping surface formed of loose material.
a) Angle of nip
b) Angle of crutch
c) Angle of Dump
d) Angle of repose
Explanation: The angle of repose or critical angle of repose of a granular material is the steepest angle of descent relative to the horizontal plane.
9. Suppose the particles of a sump are sliding across a cone, which of the following is true?
a) Cos Ө = α
b) Cos Ө/2 < α
c) Ө = α
d) Ө/2 > α
Explanation: If the half angle of cone screen is greater than the angle of repose of the solids, the solids will slide across with velocity of independent feed rate.
10. If angle of repose is too low, then velocity is _________
a) Constant
b) Low
c) High
d) Optimum
Explanation: If the angle is too great, this velocity will be too high and the retention time under centrifugal force will be too short.