Three Dimensional Geometry Questions and Answers Part-3

1.Equation of the plane through three points between the lines \[\frac{x}{2}=\frac{y}{-3}=\frac{z}{1}\]    and \[\frac{x-2}{3}=\frac{y-1}{-5}=\frac{z+2}{2}\]
is
a) 3 (x – 21) = 3y+92=3z – 32
b) \[\frac{x-\left(62/3\right)}{1/3}=\frac{y-31}{1/3}=\frac{z+\left(31/3\right)}{1/3}\]
c) \[\frac{x-21}{1/3}=\frac{y-(92/3)}{1/3}=\frac{z+(32/3)}{1/3}\]
d) \[\frac{x-2}{1/3}=\frac{y+3}{1/3}=\frac{z-1}{1/3}\]

Answer: a
Explanation:
q21
q21a
q21b

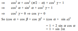
2. A line makes angles \[\alpha,\beta,\gamma\]   with the coordinate axes . if \[\alpha+\beta=\pi/2\]    then \[\left(\cos\alpha+\cos\beta+\cos\gamma\right)^{2}\]     is equal to
a) \[1+\sin2\alpha\]
b) \[1+\cos2\alpha\]
c) \[1-\sin2\alpha\]
d) none of these

Answer: a
Explanation:
q22
q22a

3. If the points (2 – x, 2, 2), (2, 2 – y, 2) (2, 2, 2 – z) and (1, 1, 1) are coplanar, then
a) \[\frac{1}{x}+\frac{1}{y}+\frac{1}{z}=1\]
b) x + y + z = 1
c) \[\frac{1}{x-1}+\frac{1}{y-1}+\frac{1}{z-1}=1\]
d) none of these

Answer: a
Explanation: Given points are coplanar
q23
q23a

4. Equation of a plane which passes through the point of intersection of lines \[\frac{x-1}{3}=\frac{y-2}{1}=\frac{z-3}{2}\]       and \[\frac{x-3}{1}=\frac{y-1}{2}=\frac{z-2}{3}\]      and greatest distance from the origin is
a) 7x + 2y + 4z = 54
b) 4x + 3y + 5z = 50
c) 3x + 4y + 5z =49
d) x + y + z = 12

Answer: b
Explanation:
q24
q24a

5. A tetrahedron has vertices O (0, 0, 0) A (1, 2, 1), B (2, 1, 3) and C (–1, 1, 2). The angle between the faces OAB and ABC is
a) \[\cos^{-1}\left(\frac{19}{35}\right)\]
b) \[\cos^{-1}\left(\frac{17}{31}\right)\]
c) \[30^{\circ}\]
d) \[90^{\circ}\]

Answer: a
Explanation: Equation of a plane containing the face OAB is
q25

6. If the straight lines \[\frac{x-1}{2}=\frac{y+1}{k}=\frac{z}{2}\]     and \[\frac{x+1}{5}=\frac{y+1}{2}=\frac{z}{k}\]     are coplanar, then the plane(s) containing these two lines is(are)
a) y + 2z = – 1
b) y + z = – 1
c) y – z = – 1
d) Both b and c

Answer: d
Explanation: As the lines are coplanar
q26

7. A line L passing through the origin is perpendicular to the lines
\[l_{1}: \left(3+t\right)i+\left(-1+2t\right)j+\left(4+2t\right)k,-\infty< t<\infty\]
\[l_{2}: \left(3+2s\right)i+\left(3+2s\right)j+\left(2+s\right)k,-\infty< s<\infty\]
Then, the coordinate(s) of the point(s) on \[L_{2}\] at a distance of \[\sqrt{17}\] from the point of intersection of L and \[L_{1}\] is (are)
a) \[\left(\frac{7}{3},\frac{7}{3},\frac{5}{3}\right)\]
b) (–1, –1, 0)
c) \[\left(\frac{7}{9},\frac{7}{9},\frac{8}{9}\right)\]
d) Both b and c

Answer: d
Explanation:
q27
q27a

8. Two lines \[L_{1}:x=5,\frac{y}{3-\alpha}=\frac{z}{-2}\]      and \[L_{2}:x=\alpha,\frac{y}{-1}=\frac{z}{2-\alpha}\]      are coplanar. Then \[\alpha\] can take value(s)
a) 1
b) 2
c) 4
d) Both a and c

Answer: d
Explanation:
q28

9. From a point \[P\left(\lambda,\lambda,\lambda\right)\]   perpendiculars PQ and PR are drawn respectively on the lines y = x, z = 1 and y = – x, z = –1. If P is such that \[\angle QPR\]  is a right angle, then the possible value(s) of \[\lambda\] is(are)
a) \[\sqrt{2}\]
b) 1
c) -1
d) \[-\sqrt{2}\]

Answer: c
Explanation: Let the line L1 be x = y, z = 1.
q29
q29a

10. Let \[R^{3}\] , consider the plane \[P_{1}: y=0\]   and \[P_{2}: x+z=1\]    . Let \[P_{3}\]  be a plane different from \[P_{1}\]  and \[P_{2}\] , which passes through the intersection of \[P_{1}\] and \[P_{2}\]  . If the distance of the point (0,1,0) from \[P_{3}\]  is 1 and the distance of a point \[\left(\alpha,\beta,\gamma\right)\]   from \[P_{3}\] is 2, then which of the following relations is (are) true ?
a) \[2\alpha+\beta+2\gamma+2=0\]
b) \[2\alpha-\beta+2\gamma+4=0\]
c) \[2\alpha-\beta+2\gamma-8=0\]
d) Both b and c

Answer: d
Explanation: Equation of any plane through intersection of
q30
q30a
q30b