Three Dimensional Geometry Questions and Answers Part-4

1. In R3, let L be a straight line passing through the origin. Suppose that all the points on L are at a constant distance from the two planes \[P_{1}:x+2y-z+1=0\]     and \[P_{2}:2x-y+z-1=0\]    . Let M be the locus of the feet of the perpendiculars drawn from the points on L to the plane \[P_{1}\] . Which of the following points lie(s) on M?
a) \[\left(0,-\frac{5}{6}-\frac{2}{3}\right)\]
b) \[\left(-\frac{1}{6},-\frac{1}{3},\frac{1}{6}\right)\]
c) \[\left(-\frac{5}{6},0,\frac{1}{6}\right)\]
d) Both a and b

Answer: d
Explanation: As L is at a constant distance from P1 and P2, L is parallel to both P1 and P2. If direction ratios of L are a, b, c then
q31a
q31b

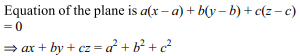
2. If the foot of the perpendiculer from the origin to a plane in (a, b, c) , the equation of the plane is
a) \[\frac{x}{a}+\frac{y}{b}+\frac{z}{c}=1\]
b) ax + by + cz = 3
c) \[ax + by + cz = a^{2} + b^{2} + c^{2}\]
d) \[ax + by + cz = a + b + c\]

Answer: c
Explanation:
q32

3. Shortest distance between the two straight lines \[\frac{x-3/4}{2}=\frac{y+1/2}{3}=\frac{z+6/7}{4}\]       and \[\frac{4x-3}{5}=\frac{2y+1}{6}=\frac{7z-6}{7}\]
is
a) \[\sqrt{56}\]
b) \[\sqrt{29}\]
c) 0
d) 9

Answer: c
Explanation:
q33

4. l = m = n = 1 represent the direction cosines of the
a) x-axis
b) y-axis
c) z-axis
d) none of these

Answer: d
Explanation:
q34

5. Let N be the foot of the perpendicular of length p from the origin to a plane and l, m, n be the direction cosines of ON, the equation of the plane is
a) px + my + nz = l
b) lx + py + nz = m
c) lx + my + pz = n
d) lx + my + nz = p

Answer: d
Explanation:
q35

6. If the planes bx – ay = n, cy – bz = l and az – cx = m intersect in a line, then al + bm + cn is equal to
a) -1
b) 0
c) 1
d) none of these

Answer: b
Explanation:
q36

7. The number of lines which are equally inclined to the axes is
a) 2
b) 4
c) 6
d) 8

Answer: b
Explanation:
q37

8.The line x – 2y + 4z + 4 = 0, x + y + z – 8 = 0 intersects the plane x – y + 2z + 1 = 0 at the point
a) (3, 2, 3)
b) (5, 2, 1)
c) (2, 5, 1)
d) (3, 4, 1)

Answer: c
Explanation:
q38

9. The foot of the perpendicular drawn from a point with position vector i + 4k on the line joining the points having position vector as – 11i + 3k and 2i – 3j + k has the position vector
a) 4i + 5j + 5k
b) 4i + 5j - 5k
c) 5i + 4j – 5k
d) none of these

Answer: d
Explanation:
q39

10. A plane passes through (1,-2,1) and is perpendicular to two planes 2x – 2y + z = 0 and x – y + 2z=4. The distance of the plane from the point (1, 2, 2) is
a) 0
b) 1
c) \[\sqrt{2}\]
d) \[2\sqrt{2}\]

Answer: d
Explanation:
q40
q40a