1. Calculate the thermal voltage when the temperature is 25°C
a) 0V
b) 0.0257V
c) 0.026V
d) 0.25V
Explanation: Thermal voltage VT is given by k T/q
Where k is the boltzman constant and q is the charge of electron. This can be reduced to
VT = TK/11600
Therefore, VT = 298.15/11600 = 0.0257V.
2. Calculate the reverse saturation current of a diode if the current at 0.2V forward bias is 0.1mA at a temperature of 25°C and the ideality factor is 1.5.
a) 5.5x 10-9 A
b) 5.5x 10-8 A
c) 5.5x 10-7 A
d) 5.6x 10-10 A
Explanation: Equation for diode current
I=I0×(e(V/ηVT) – 1) where I0 = reverse saturation current
η = ideality factor
VT = thermal voltage
V = applied voltage
Here, I = 0.1mA, η = 1.5, V = 0.2V, VT = TK/11600
VT at T = 25+273=298 is 298/11600 = 0.0256V.
Therefore, reverse saturation current

IO=0.00055mA = 5.5×10-7A.
3. Find the applied voltage on a forward biased diode if the current is 1mA and reverse saturation current is 10-10. Temperature is 25°C and takes ideality factor as 1.5.
a) 0.658V
b) 0.726V
c) 0.526V
d) 0.618V
Explanation: Equation for diode current
I=I0×(e(V/ηVT)-1) where I0 = reverse saturation current
η = ideality factor
VT = thermal voltage
V = applied voltage
VT at T = 25+273=298 is 298/11600 = 0.0256V, η = 1.5, I = 1mA, I0 = 10-10A
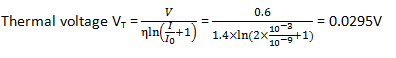
4. Find the temperature at which a diode current is 2mA for a diode which has reverse saturation current of 10-9 A. The ideality factor is 1.4 and the applied voltage is 0.6V forward bias.
a) 69.65°C
b) 52.26°C
c) 25.23°C
d) 70.23°C
Explanation: Equation for diode current
I=I0×(e(V/ηVT)-1) where I0 = reverse saturation current
η = ideality factor
VT = thermal voltage
V = applied voltage
I0 = 10-9A, η = 1.4, V = 0.6V, I = 2mA

We know thermal voltage VT = TK/11600. Therefore, TK = VTx11600 = 0x11600 = 342.65K = 69.65°C.
5. Consider a silicon diode with η=1.2. Find the change in voltage if the current changes from 0.1mA to 10mA.
a) 0.154V
b) 0.143V
c) 0.123V
d) 0.165V
Explanation: Equation for diode current
I=I0×(e(V/ηVT)-1) where I0 = reverse saturation current
η = ideality factor
VT = thermal voltage
V = applied voltage
η = 1.2, I2 = 10mA, I1 = 0.1mA and take VT = 0.026V
6. If current of a diode changes from 1mA to 10mA what will be the change in voltage across the diode. The ideality factor of diode is 1.2.
a) 0.718V
b) 7.18V
c) 0.0718V
d) 0.00728V
Explanation: η = 1.2, I2 = 10mA, I1 = 1mA and take VT = 0.026V
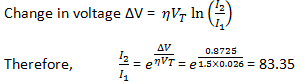
7. What will be the ratio of final current to initial current of a diode if the voltage of a diode changes from 0.7V to 872.5mV. Take ideality factor as 1.5.
a) 90.26
b) 52.36
c) 80.23
d) 83.35
Explanation: η = 1.5, ΔV = 0.8725V and take VT = 0.026V
8. What is quiescent point or Q-point?
a) Operating point of device
b) The point at which device have maximum functionality
c) The point at which current equal to voltage
d) The point of V-I graph where slope is 0.5
Explanation: Quiescent point of a device represents operating point of a device. For a diode quiescent point is determined by constant DC current through the diode. The Q-point is the DC voltage or current at a specified terminal of an active device with no input applied. A bias circuit is used to supply this steady voltage/current.
9. The reciprocal of slope of current-voltage curve at Q-point gives _____________
a) AC resistance
b) Nominal resistance
c) Maximum dynamic resistance
d) Minimum impedance
Explanation: Reciprocal of slope of I-V graph at q-point gives AC or dynamic resistance. The inverse of slope will be change in voltage by change in current which is known as dynamic resistance.
10. As the slope of I-V graph at the Q point increases, AC resistance will _____________
a) Increase
b) Decrease
c) Either increase or decrease
d) Neither increase nor decrease
Explanation: Slope of I-V graph at q-point is reciprocal of dynamic or AC resistance. Therefore, as slope increases resistance decreases.