Applications of Derivatives Questions and Answers Part-3

1. Let \[f\left(x\right)=\begin{cases}x^{4}\left(2+\sin\frac{1}{x}\right) & x \neq 0\\0 & x= 0\end{cases}\]
then
a) f is not differentiable at x = 0
b) f has a maximum at x = 0
c) The range of f is \[\left[0 ,\infty\right)\]
d) f increases on \[\left(-\infty ,\infty\right)\sim\left(-1 ,2\right)\]

Answer: c
Explanation:
q21
q21a

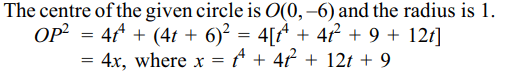
2. The coordinates of the point on the parabola \[y^{2}=8x\]   which is at minimum distance from the circle \[x^{2}+\left(y+6\right)^{2}=1\]     are
a) (2, – 4)
b) (18, –12)
c) (2, 4)
d) \[\left(1,\sqrt{8}\right)\]

Answer: a
Explanation: Let P (2t2 , 4t) be any point on the parabola.
q22
q22a

3.The image of the interval [– 1, 3] under the maping \[f\left(x\right)=4x^{3}-12x\]
is
a) [–2, 0]
b) [–8, 72]
c) [–8, 0]
d) [–4, 36]

Answer: b
Explanation: To find the image of the given interval, we
q23

4. The difference between the greatest and least values of the function \[f\left(x\right)=\cos x+\frac{1}{2} \cos2 x-\cos 3x\]
is
a) 2/3
b) 8/7
c) 9/4
d) 3/8

Answer: c
Explanation: The given function is periodic, with period 2 \[\pi\] . So the difference between the greatest and least values of the function is the difference between these values on the interval [0, 2 \[\pi\] ]. We have f'(x) = – (sin x + sin 2x – sin 3x)
q24

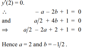
5. If \[y=a\log \mid x\mid+bx^{2}+x\]       has its extremum values at x = – 1 and x = 2, then
a) a = 2, b = –1
b) a = 2, b = – 1/ 2
c) a = –2, b = 1 /2
d) a = 1, b = –2

Answer: b
Explanation: We have y' = a/x + 2bx + 1 and y' (– 1) = 0 and
q25

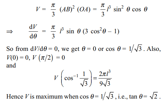
6. If \[\theta\] is the angle (semi-vertical) of a cone of maximum volume and given slant height, then tan \[\theta\] is given by
a) 2
b) 1
c) \[\sqrt{2}\]
d) \[\sqrt{3}\]

Answer: c
Explanation: Let OB = l, OA = l cos \[\theta\] and AB
q26
q26a

7. If \[f\left(x\right)=x^{2}+2bx+2c^{2}\]     and \[g\left(x\right)=-x^{2}-2cx+b^{2}\]     are such that min f (x) > max g(x), then the relation between b and c is
a) |c| < |b|
b) 0 < c < b/2
c) \[\mid c\mid < \mid b\mid \sqrt{2}\]
d) \[\mid c\mid > \mid b\mid \sqrt{2}\]

Answer: d
Explanation:
q27

8. Tangent is drawn to ellipse \[\frac{x^{2}}{27}+y^{2}=1\]   at \[\left(3\sqrt{3}\cos \theta,\sin\theta\right)\]     (where \[\theta\epsilon\left(0,\pi/2\right))\]
Then the value of \[\theta\] such that sum of intercepts on axes made by this tangent is least is
a) \[\pi/3\]
b) \[\pi/6\]
c) \[\pi/8\]
d) \[\pi/4\]

Answer: a
Explanation:
q28
q28a
q28b

9. Let \[f\left(x\right)=\left(x-3\right)^{5}\left(x+1\right)^{4}\]     then
a) x = 7/9 is a point of maxima
b) x = 3 is a point of minimum
c) x = –1 is a point of maxima
d) f has no point of maximum or minimum

Answer: c
Explanation:
q29
q29a

10. Let \[f\left(x\right)=\left(1+x\right)^{n}-\left(1+nx\right), x\epsilon \left[-1,\infty\right)\]
Then f
a) has an absolute maximum at x = 0
b) has neither absolute maximum nor absolute minimum at x = 0
c) has an absolute minimum at x = 0
d) \[I_{n}=\int_{0}^{1}f\left(x\right)dx \]    is bounded for all n

Answer: c
Explanation:
q30
q30a
q30b