Applications of Derivatives Questions and Answers Part-6

1. The function \[\frac{\sin\left(x+\alpha\right)}{\sin\left(x+\beta\right)}\]    has no maximum or minimum if (k an integer)
a) \[\beta-\alpha=k\pi\]
b) \[\beta-\alpha\neq k\pi\]
c) \[\beta-\alpha=2k \pi\]
d) none of the above

Answer: b
Explanation:
q51
q51a

2. The two curves \[x^{3}-3xy^{2}+2=0\]     and \[3x^{2}y-y^{3}-2=0\]
a) cut at right angles
b) touch each other
c) cut at an angle \[\pi/3\]
d) cut at an angle \[\pi/4\]

Answer: a
Explanation:
q52

3. If \[x\cos \alpha+y\sin \alpha=p\]     touches \[x^{2}+a^{2}y^{2}=a^{2}\]    , then
a) \[p^{2}=a^{2}\sin^{2}\alpha+\cos^{2}\alpha\]
b) \[p^{2}=a^{2}\cos^{2}\alpha+\sin^{2}\alpha\]
c) \[1/p^{2}=\sin^{2}\alpha+\alpha^{2}\cos^{2}a\]
d) \[1/p^{2}=\cos^{2}\alpha+a^{2}\sin^{2}\alpha\]

Answer: b
Explanation:
q53

4. The set of all values of the parameters a for which the points of minimum of the function \[y=1+a^{2}x-x^{3}\]     satisfy the inequality \[\frac{x^{2}+x+2}{x^{2}+5x+6}\leq0\]
is
a) an empty set
b) \[\left(-3\sqrt{3},-2\sqrt{3}\right)\]
c) \[\left(2\sqrt{3},3\sqrt{3}\right)\]
d) \[\left(-3\sqrt{3},-2\sqrt{3}\right) \cup\left(2\sqrt{3},3\sqrt{3}\right)\]

Answer: c
Explanation:
q54

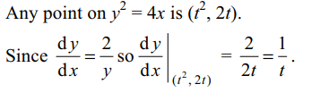
5. Three normals are drawn to the parabola y2 = 4x from the point (c, 0). These normals are real and distinct when
a) c = 0
b) c = 1
c) c =2
d) c =3

Answer: d
Explanation:
q55
q55a

6. The function f (x) = (log (x - 1))2 (x - 1)2 has
a) local extremum at x = 1
b) point of inflection at x=1
c) local extremum at x = 2
d) point of inflection at x=2

Answer: c
Explanation:
q56

7. Given the function \[f\left(x\right)=x^{2}e^{-2x},x>0\]
Then f (x) has the maximum value equal to
a) \[e^{-1}\]
b) \[\left(2e\right)^{-1}\]
c) \[e^{-2}\]
d) none of these

Answer: c
Explanation:
q57

8. Let f (x) = (x - 4) (x - 5) (x - 6) (x - 7) then
a) f '(x) = 0 has four real roots
b) three roots of f' (x) = 0 lie in \[\left(4,5\right)\cup\left(5,6\right)\cup\left(6,7\right)\]
c) the equation f ' (x) = has only two roots
d) three roots of f ' (x) = 0 lie in \[\left(3,4\right)\cup\left(4,5\right)\cup\left(5,6\right)\]

Answer: b
Explanation:
q58

9. The points on the curve \[5x^{2}-6xy+5y^{2}=4\]     that are the nearest the origin are
a) (1/2, - 1/2), (- 1/2, 1/2)
b) \[\left(0,2/\sqrt{5}\right),\left(0,-2/\sqrt{5}\right)\]
c) \[\left(2/\sqrt{5},0\right),\left(-2/\sqrt{5},0\right)\]
d) \[\left(2/\sqrt{3},0\right),\left(\frac{2}{\sqrt{5}},1\right)\]

Answer: a
Explanation:
q59
q59a

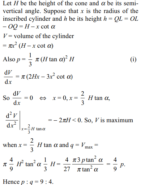
10. A given right circular cone has a volume p, and the largest right circular cylinder that can be inscribed in the cone has a volume q. Then p : q is
a) 9:4
b) 8:3
c) 7:2
d) 5:3

Answer: a
Explanation:
q60
q60a