1.Young’s modulus of perfectly rigid body material is
a) Zero
b) Infinity
c) \[1\times 10^{10}N\diagup m^{2}\]
d) \[10\times 10^{10}N\diagup m^{2}\]
Explanation: Infinity
2. A wire of cross section \[4 mm^{2}\] is stretched by 0.1mm by a certain weight. How far (length) will be
wire of same material and length but of area \[8 mm^{2}\] stretch under the action of same force
a) 0.05 mm
b) 0.10 mm
c) 0.15 mm
d) 0.20 mm
Explanation:
3. A substance breaks down by a stress of 106 N/m2. If the density of the material of the wire is \[3\times 10^{3}kg\diagup m^{3}\] , then the length of the wire of the substance which will break under its own weight
when suspended vertically, is
a) 66.6 m
b) 60.0 m
c) 33.3 m
d) 30.0 m
Explanation:
4. A rubber cord 10 m long is suspended vertically. How much does it stretch under its own weight
(Density of rubber is \[1500 kg\diagup m^{3}\] , \[Y=5\times 10^{8}N\diagup m^{2}\] , \[g= 10m\diagup s^{2}\] )
a) \[15\times 10^{-4}m\]
b) \[7.5\times 10^{-4}m\]
c) \[12\times 10^{-4}m\]
d) \[25\times 10^{-4}m\]
Explanation:
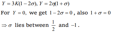
5. The value of Poisson's ratio lies between
a) \[-1 to \frac{1}{2}\]
b) \[-\frac{3}{4} to -\frac{1}{2}\]
c) \[-\frac{1}{2} to 1\]
d) 1 to 2
Explanation:
6. The Poisson's ratio cannot have the value
a) 0.7
b) 0.2
c) 0.1
d) 0.5
Explanation: Value of Poisson’s ratio lie in range of -1 to \[\frac{1}{2}\]
7. There is no change in the volume of a wire due to change in its length on stretching. The Poisson's
ratio of the material of the wire is
a) + 0.50
b) – 0.50
c) 0.25
d) - 0.25
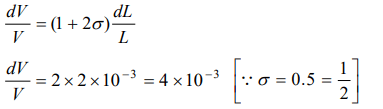
Explanation:
8. A material has Poisson's ratio 0.50. If a uniform rod of it suffers a longitudinal strain of \[2\times 10^{-3}\] ,
then the percentage change in volume is
a) 0.6
b) 0.4
c) 0.2
d) Zero
Explanation:

Percentage change in volume = 4 * 10-1 = 0.4%
9. Four identical rods are stretched by same force.
Maximum extension is produced in
a) \[L =10cm, D =1mm\]
b) \[L =100cm, D =2mm\]
c) \[L =200cm, D =3mm\]
d) \[L =300cm, D =4mm\]
Explanation:
10. The isothermal elasticity of a gas is equal to
a) Density
b) Volume
c) Pressure
d) Specific heat
Explanation: Isothermal elasticity Ki = P