Mechanical Properties of Solids Questions and Answers Part-16

1. The lower surface of a cube is fixed. On its upper surface, force is applied at an angle of 30° from its surface. The change will be of the type
a) Shape
b) Size
c) None
d) Shape and size

Answer: d
Explanation: There will be both shear stress and normal stress

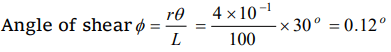
2. The upper end of a wire of radius 4 mm and length 100 cm is clamped and its other end is twisted through an angle of 30°. Then angle of shear is
a) 12°
b) 0.12°
c) 1.2°
d) 0.012°

Answer: b
Explanation:
q152

3.Mark the wrong statement
a) Sliding of molecular layer is much easier than compression or expansion
b) Reciprocal of bulk modulus of elasticity is called compressibility
c) It is difficult to twist a long rod as compared to small rod
d) Hollow shaft is much stronger than a solid rod of same length and same mass

Answer: c
Explanation:
q153

4. A 2 m long rod of radius 1 cm which is fixed from one end is given a twist of 0.8 radians. The shear strain developed will be
a) 0.002
b) 0.004
c) 0.008
d) 0.016

Answer: b
Explanation:
q154

5.A rod of length l and radius r is joined to a rod of length l/2 and radius r/2 of same material. The free end of small rod is fixed to a rigid base and the free end of larger rod is given a twist of \[\theta^{\circ}\] , the twist angle at the joint will be
a) \[\theta\diagup 4\]
b) \[\theta\diagup 2\]
c) \[5\theta\diagup 6\]
d) \[8\theta\diagup 9\]

Answer: d
Explanation:
q155

6. Shearing stress causes change in
a) Length
b) Breadth
c) Shape
d) Volume

Answer: c
Explanation: Shape

7. If the potential energy of a spring is V on stretching it by 2 cm, then its potential energy when it is stretched by 10 cm will be
a) V/25
b) 5V
c) V/5
d) 25V

Answer: d
Explanation:
q157

8. The work done in stretching an elastic wire per unit volume is or strain energy in a stretched string is
a) \[Stress\times Strain\]
b) \[\frac{1}{2}\times Stress\times Strain\]
c) \[2\times Stress\times Strain\]
d) \[Stress\diagup Strain\]

Answer: b
Explanation: \[\frac{1}{2}\times Stress\times Strain\]

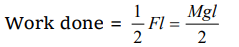
9. Calculate the work done, if a wire is loaded by 'Mg' weight and the increase in length is 'l'
a) Mgl
b) Zero
c) Mgl/2
d) 2Mgl

Answer: c
Explanation:
q159

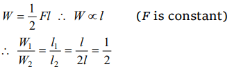
10. Two wires of same diameter of the same material having the length l and 2l. If the force F is applied on each, the ratio of the work done in the two wires will be
a) 1 : 2
b) 1 : 4
c) 2 : 1
d) 1 : 1

Answer: a
Explanation:
q160