1. The drift velocity of free electrons in a conductor
is ‘v’ when a current ‘i’ is flowing in it. If both the
radius and current are doubled, then drift velocity
will be
a) V
b) \[\frac{V}{2}\]
c) \[\frac{V}{4}\]
d) \[\frac{V}{8}\]
Explanation:
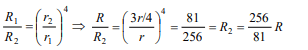
2.A wire of radius r has resistance R. If it is
stretched to a radius of \[\frac{3r}{4}\] , its resistance
becomes
a) \[\frac{9R}{16}\]
b) \[\frac{16R}{9}\]
c) \[\frac{81R}{256}\]
d) \[\frac{256R}{81}\]
Explanation:
3.The resistance of a conductor increases with
a) Increase in length
b) Increase in temperature
c) Decrease in cross–sectional area
d) All of these
Explanation: All of these
4. Two wires of same material have length L and 2L
and cross–sectional areas 4A and A respectively.
The ratio of their specific resistance would be
a) 1 : 2
b) 8 : 1
c) 1 : 8
d) 1 : 1
Explanation: Specific resistance doesn’t depend upon length and area
5. When a current flows through a conductor its
temperature
a) May increase or decrease
b) Remains same
c) Decreases
d) Increases
Explanation: Heating effect of current
6.What length of the wire of specific resistance \[48\times 10^{-8}\] Ω m is needed to make a resistance of 4.2 Ω (diameter of wire = 0.4 mm)
a) 4.1 m
b) 3.1 m
c) 2.1 m
d) 1.1 m
Explanation:
7. A strip of copper and another of germanium are
cooled from room temperature to 80 K. The
resistance of
a) Each of these increases
b) Each of these decreases
c) Copper strip increases and that of germanium
decreases
d) Copper strip decreases and that of germanium
increases
Explanation:
8. The length of a given cylindrical wire is increased
by 100 %. Due to the consequent decrease in
diameter the change in the resistance of the wire
will be
a) 300 %
b) 200 %
c) 100 %
d) 50 %
Explanation:
9.We have two wires A and B of same mass and
same material. The diameter of the wire A is half
of that B. If the resistance of wire A is 24 ohm
then the resistance of wire B will be
a) 12 Ohm
b) 3.0 Ohm
c) 1.5 Ohm
d) None of the above
Explanation:
10.In a hydrogen discharge tube it is observed that
through a given cross-section \[3.13\times 10^{15}\] electrons
are moving from right to left and \[3.12\times 10^{15}\]
protons are moving from left to right. What is the
electric current in the discharge tube and what is
its direction
a) 1mA towards right
b) 1mA towards left
c) 2mA towards left
d) 2mA towards right
Explanation: