1. The potential difference between point A & B is
a) \[\frac{20}{7}V\]
b) \[\frac{40}{7}V\]
c) \[\frac{10}{7}V\]
d) 0
Explanation: The given circuit is a balanced wheatstone bridge circuit. Hence potential difference between A and B is zero.
2.In the circuit shown below, The reading of the
voltmeter V is

a) 12 V
b) 8 V
c) 20 V
d) 16 V
Explanation:
3.A wire has a resistance of 12 ohm. It is bent in the
form of equilateral triangle. The effective
resistance between any two corners of the
triangle is
a) 9 ohms
b) 6 ohms
c) 12 ohms
d) 8/3 ohms
Explanation:
4. A series combination of two resistors 1 Ω each is
connected to a 12 V battery of internal resistance 0.4 Ω. The current flowing through it will be
a) 3.5 A
b) 5 A
c) 6 A
d) 10 A
Explanation:
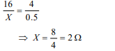
5. In the circuit shown in the adjoining figure, the
current between B and D is zero, the unknown
resistance is of

a) 4 Ω
b) 2 Ω
c) 3 Ω
d) em.f. of a cell is required to find the value of X
Explanation: By balanced Wheatstone bridge condition
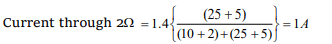
6.In the circuit shown in the figure, the current
flowing in 2 Ω resistance

a) 1.4 A
b) 1.2 A
c) 0.4 A
d) 1.0 A
Explanation:
7. Five resistors are connected as shown in the
diagram. The equivalent resistance between A
and B is
a) 6 ohm
b) 9 ohm
c) 12 ohm
d) 15 ohm
Explanation:
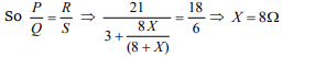
8. In the figure given the value of X resistance will
be, when the p.d. between B and D is zero

a) 4 ohm
b) 6 ohm
c) 8 ohm
d) 9 ohm
Explanation:
9.The effective resistance between points A and B is

a) 10 Ω
b) 20 Ω
c) 40 Ω
d) None of the above three values
Explanation:
10.In the network shown in the figure, each of the
resistance is equal to 2 Ω . The resistance between
the points A and B is
a) 1 Ω
b) 4 Ω
c) 3 Ω
d) 2 Ω
Explanation: The equivalent circuits are as shown below