1. Resistance of tungsten wire at \[150^{\circ} C\] is 133Ω . Its
resistance temperature coefficient is \[0.0045/^{\circ} C\] .
The resistance of this wire at \[500^{\circ} C\] will be
a) 180 Ω
b) 225 Ω
c) 258 Ω
d) 317 Ω
Explanation:
2. A metal wire of specific resistance \[64\times10^{-6}ohm -cm\] and length 198 cm has a
resistance of 7 ohm, the radius of the wire will be
a) 2.4 cm
b) 0.24 cm
c) 0.024 cm
d) 24 cm
Explanation:
3.A copper wire of length 1 m and radius 1 mm is
joined in series with an iron wire of length 2 m
and radius 3 mm and a current is passed through
the wires. The ratio of the current density in the
copper and iron wires is
a) 18 : 1
b) 9 : 1
c) 6 : 1
d) 2 : 3
Explanation:
4. The resistance of a wire is R. If the length of the
wire is doubled by stretching, then the new
resistance will be
a) 2R
b) 4R
c) R
d) \[\frac{R}{4}\]
Explanation:
5. Which of the following has a negative
temperature coefficient
a) C
b) Fe
c) Mn
d) Ag
Explanation: Temperature coefficient of a semiconductor is negative
6.The reciprocal of resistance is
a) Conductance
b) Resistivity
c) Voltage
d) None of the above
Explanation: The reciprocal of resistance is called conductance
7. A solenoid is at potential difference 60 V and
current flows through it is 15 ampere, then the
resistance of coil will be
a) 4 Ω
b) 8 Ω
c) 0.25 Ω
d) 2 Ω
Explanation:
8. All of the following statements are true except
a) Conductance is the reciprocal of resistance
and is measured in Siemens
b) Ohm's law is not applicable at very low and
very high temperatures
c) Ohm's law is applicable to semiconductors
d) Ohm's law is not applicable to electron tubes,
discharge tubes and electrolytes
Explanation: Ohm’s Law is not obeyed by semiconductors.
9.A potential difference of V is applied at the ends
of a copper wire of length l and diameter d. On
doubling only d, drift velocity
a) Becomes two times
b) Becomes half
c) Does not change
d) Becomes one fourth
Explanation:
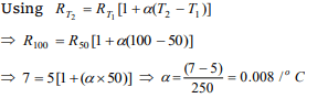
10. If the resistance of a conductor is 5Ω at \[50^{\circ}C\] and 7Ω at \[100^{\circ}C\] then the mean temperature
coefficient of resistance of the material is
a) \[0.008/^{\circ}C\]
b) \[0.006/^{\circ}C\]
c) \[0.004/^{\circ}C\]
d) \[0.001/^{\circ}C\]
Explanation: