Current Electricity Questions and Answers Part-11

1. A steady current i is flowing through a conductor of uniform cross-section. Any segment of the conductor has
a) Zero charge
b) Only positive charge
c) Only negative charge
d) Charge proportional to current i

Answer: a
Explanation: As steady current is flowing through the conductor, hence the number of electrons entering from one end and outgoing from the other end of any segment is equal. Hence charge will be zero.

2.The length of the wire is doubled. Its conductance will be
a) Unchanged
b) Halved
c) Quadrupled
d) 1/4 of the original value

Answer: b
Explanation:
q102

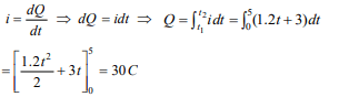
3.A source of e.m.f. E = 15 V and having negligible internal resistance is connected to a variable resistance so that the current in the circuit increases with time as i = 1.2 t + 3. Then, the total charge that will flow in first five second will be
a) 10 C
b) 20 C
c) 30 C
d) 40 C

Answer: c
Explanation:
q103

4. The new resistance of wire of R Ω, whose radius is reduced half, is
a) 16 R
b) 3 R
c) 2 R
d) R

Answer: a
Explanation: In stretching,
q104

5. A resistance R is stretched to four times its length. Its new resistance will be
a) 4 R
b) 64 R
c) R / 4
d) 16 R

Answer: d
Explanation:
q105

6.What is the resistance of a carbon resistance which has bands of colours brown, black and brown
a) 100 Ω
b) 1000 Ω
c) 10 Ω
d) 1 Ω

Answer: a
Explanation:
q106

7. The lead wires should have
a) Larger diameter and low resistance
b) Smaller diameter and high resistance
c) Smaller diameter and low resistance
d) Larger diameter and high resistance

Answer: a
Explanation: Larger diameter and low resistance

8. When a potential difference is applied across the ends of a linear metallic conductor
a) The free electrons are accelerated continuously from the lower potential end to the higher potential end of the conductor
b) The free electrons are accelerated continuously from the higher potential end to the lower potential end of the conductor
c) The free electrons acquire a constant drift velocity from the lower potential end to the higher potential end of the conductor
d) The free electrons are set in motion from their position of rest

Answer: c
Explanation: The free electrons acquire a constant drift velocity from the lower potential end to the higher potential end of the conductor

9. The electric resistance of a certain wire of iron is R. If its length and radius are both doubled, then
a) The resistance will be doubled and the specific resistance will be halved
b) The resistance will be halved and the specific resistance will remain unchanged
c) The resistance will be halved and the specific resistance will be doubled
d) The resistance and the specific resistance, will both remain unchanged

Answer: b
Explanation:
q109

10.A wire of diameter 0.02 metre contains 1028 free electrons per cubic metre. For an electrical current of 100 A, the drift velocity of the free electrons in the wire is nearly
a) \[1\times 10^{-19}m/s\]
b) \[5\times 10^{-10}m/s\]
c) \[2\times 10^{-4}m/s\]
d) \[8\times 10^{3}m/s\]

Answer: c
Explanation:
q110