1. If all the resistors shown have the value 2 ohm
each, the equivalent resistance over AB is

a) 2 ohm
b) 4 ohm
c) \[1\frac{2}{3}ohm\]
d) \[2\frac{2}{3}ohm\]
Explanation:
2. A battery of emf 10 V and internal resistance 3 Ω
is connected to a resistor as shown in the figure.
If the current in the circuit is 0.5 A. then the
resistance of the resistor will be

a) 19 Ω
b) 17 Ω
c) 12 Ω
d) 10 Ω
Explanation:
3.The potential drop across the 3 Ω resistor is

a) 1 V
b) 1.5 V
c) 2 V
d) 3 V
Explanation:
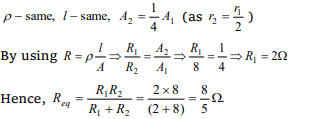
4. Two wires of equal diameters, of resistivities
\[\rho_{1}and \rho_{2}\] and lengths l1 and l2, respectively, are
joined in series. The equivalent resistivity of the
combination is
a) \[\frac{\rho_{1}l_{1}+\rho_{2}l_{2}}{l_{1}+l_{2}}\]
b) \[\frac{\rho_{1}l_{2}+\rho_{2}l_{1}}{l_{1}-l_{2}}\]
c) \[\frac{\rho_{1}l_{2}+\rho_{2}l_{1}}{l_{1}+l_{2}}\]
d) \[\frac{\rho_{1}l_{1}-\rho_{2}l_{2}}{l_{1}-l_{2}}\]
Explanation:
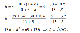
5. Four resistances of 100 Ω each are connected in
the form of square. Then, the effective resistance
along the diagonal points is
a) 200 Ω
b) 400 Ω
c) 100 Ω
d) 150 Ω
Explanation:
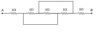
6.Equivalent resistance between the points A and B
is ( in Ω )

a) \[\frac{1}{5}\]
b) \[1\frac{1}{4}\]
c) \[2\frac{1}{3}\]
d) \[3\frac{1}{2}\]
Explanation:
7. Two wires of the same material and equal length
are joined in parallel combination. If one of them
has half the thickness of the other and the thinner
wire has a resistance of 8 ohms, the resistance of
the combination is equal to
a) \[\frac{5}{8}ohms \]
b) \[\frac{8}{5}ohms \]
c) \[\frac{3}{8}ohms \]
d) \[\frac{8}{3}ohms \]
Explanation:
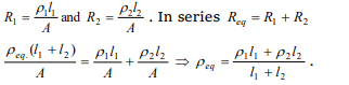
8. In the circuit shown here, what is the value of the
unknown resistor R so that the total resistance of
the circuit between points P and Q is also equal to
R

a) 3 ohms
b) \[\sqrt{39}\] ohms
c) \[\sqrt{69}\] ohms
d) 10 ohms
Explanation:
9. A uniform wire of resistance 9 Ω is cut into 3
equal parts. They are connected in the form of
equilateral triangle ABC. A cell of e.m.f. 2 V and
negligible internal resistance is connected across
B and C. Potential difference across AB is
a) 1 V
b) 2 V
c) 3 V
d) 0.5 V
Explanation:
10. The resistors of resistances 2 Ω , 4 Ω and 8 Ω are
connected in parallel, then the equivalent
resistance of the combination will be
a) \[\frac{8}{7}\] Ω
b) \[\frac{7}{8}\] Ω
c) \[\frac{7}{4}\] Ω
d) \[\frac{4}{9}\] Ω
Explanation: