1. In a seconds pendulum, mass of bob is 30 gm. If it
is replaced by 90 gm mass. Then its time period
will
a) 1 sec
b) 2 sec
c) 4 sec
d) 3 sec
Explanation: Time period is independent of mass of bob of pendulum.
2. The time period of a simple pendulum when it is
made to oscillate on the surface of moon
a) Increases
b) Decreases
c) Remains unchanged
d) Becomes infinite
Explanation:
3.A simple pendulum is attached to the roof of a lift.
If time period of oscillation, when the lift is
stationary is T. Then frequency of oscillation,
when the lift falls freely, will be
a) Zero
b) T
c) 1/ T
d) None of these
Explanation: When lift falls freely effective acceleration and frequency of oscillations be zero
4. A simple pendulum, suspended from the ceiling of
a stationary van, has time period T. If the van
starts moving with a uniform velocity the period
of the pendulum will be
a) Less than T
b) Equal to 2T
c) Greater than T
d) Unchanged
Explanation: Effective value of ‘g’ remains unchanged.
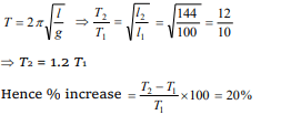
5. If the length of the simple pendulum is increased
by 44%, then what is the change in time period of
pendulum
a) 22%
b) 20%
c) 33%
d) 44%
Explanation:
6. To show that a simple pendulum executes simple
harmonic motion, it is necessary to assume that
a) Length of the pendulum is small
b) Mass of the pendulum is small
c) Amplitude of oscillation is small
d) Acceleration due to gravity is small
Explanation: If amplitude is large motion will not remain simple harmonic.
7.The height of a swing changes during its motion
from 0.1 m to 2.5 m. The minimum velocity of a
boy who swings in this swing is
a) 5.4 m / s
b) 4.95 m / s
c) 3.14 m / s
d) Zero
Explanation: Minimum velocity is zero at the extreme positions.
8. The amplitude of an oscillating simple pendulum
is 10cm and its period is 4 sec. Its speed after 1
sec after it passes its equilibrium position, is
a) Zero
b) 0.57 m/s
c) 0.212 m/s
d) 0.32 m/s
Explanation:
9. A simple pendulum hangs from the ceiling of a
car. If the car accelerates with a uniform
acceleration, the frequency of the simple
pendulum will
a) Increase
b) Decrease
c) Become infinite
d) Remain constant
Explanation:
10. The periodic time of a simple pendulum of length
1 m and amplitude 2 cm is 5 seconds. If the
amplitude is made 4 cm, its periodic time in
seconds will be
a) 2.5
b) 5
c) 10
d) \[5\sqrt{2}\]
Explanation: As periodic time is independent of amplitude.