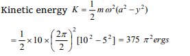
1.A particle of mass 10 gm is describing S.H.M.
along a straight line with period of 2 sec and
amplitude of 10 cm. Its kinetic energy when it is
at 5 cm from its equilibrium position is
a) \[37.5\pi^{2}ergs\]
b) \[3.75\pi^{2}ergs\]
c) \[375\pi^{2}ergs\]
d) \[0.375\pi^{2}ergs\]
Explanation:
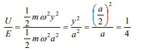
2. When the displacement is half the amplitude, the
ratio of potential energy to the total energy is
a) \[\frac{1}{2}\]
b) \[\frac{1}{4}\]
c) 1
d) \[\frac{1}{8}\]
Explanation:
3. The P.E. of a particle executing SHM at a distance
x from its equilibrium position is
a) \[\frac{1}{2}m\omega^{2}x ^{2}\]
b) \[\frac{1}{2}m\omega^{2}a ^{2}\]
c) \[\frac{1}{2}m\omega^{2}\left(a ^{2}-x ^{2}\right)\]
d) Zero
Explanation: \[\frac{1}{2}m\omega^{2}X ^{2}\]
4. A vertical mass-spring system executes simple
harmonic oscillations with a period of 2 s. A
quantity of this system which exhibits simple
harmonic variation with a period of 1 s is
a) Velocity
b) Potential energy
c) Phase difference between acceleration and
displacement
d) Difference between kinetic energy and
potential energy
Explanation: The time period of potential energy and kinetic energy is half that of SHM.
5. For any S.H.M., amplitude is 6 cm. If
instantaneous potential energy is half the total energy then distance of particle from its mean
position is
a) 3 cm
b) 4.2 cm
c) 5.8 cm
d) 6 cm
Explanation:
6. A body of mass kg 1 is executing simple harmonic
motion. Its displacement y(cm) at t seconds is
given by \[y=6\sin\left(100t+ \pi/4\right)\] . Its maximum kinetic
energy is
a) 6 J
b) 18 J
c) 24 J
d) 36 J
Explanation:
7. A particle is executing simple harmonic motion
with frequency f. The frequency at which its
kinetic energy change into potential energy is
a) \[f/2\]
b) f
c) 2 f
d) 4 f
Explanation: In S.H.M., frequency of K.E. and P.E. = 2 * (Frequency of oscillating particle)
8. There is a body having mass m and performing
S.H.M. with amplitude a. There is a restoring
force \[F=-kx\] , where x is the displacement. The
total energy of body depends upon
a) K, x
b) K, a
c) K, a, x
d) K, a, v
Explanation:
9. The total energy of a particle executing S.H.M. is
80 J. What is the potential energy when the
particle is at a distance of 3/4 of amplitude from
the mean position
a) 60 J
b) 10 J
c) 40 J
d) 45 J
Explanation:
10. In a simple harmonic oscillator, at the mean
position
a) Kinetic energy is minimum, potential energy is
maximum
b) Both kinetic and potential energies are
maximum
c) Kinetic energy is maximum, potential energy is
minimum
d) Both kinetic and potential energies are
minimum
Explanation: Kinetic energy is maximum, potential energy is minimum