Oscillations Questions and Answers Part-2

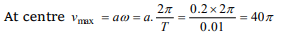
1. A simple harmonic oscillator has a period of 0.01 sec and an amplitude of 0.2 m. The magnitude of the velocity in \[m sec ^{-1}\]   at the centre of oscillation is
a) \[20 \pi\]
b) 100
c) \[40 \pi\]
d) \[100 \pi\]

Answer: c
Explanation:
q11

2. A particle executes S.H.M. with a period of 6 second and amplitude of 3 cm. Its maximum speed in cm/sec is
a) \[ \pi/ 2\]
b) \[ \pi\]
c) \[2 \pi\]
d) \[3 \pi\]

Answer: b
Explanation:
q12

3.A particle is executing S.H.M. If its amplitude is 2 m and periodic time 2 seconds, then the maximum velocity of the particle will be
a) \[ \pi\]   m / s
b) \[\sqrt{2 \pi} \]   m / s
c) \[2 \pi\]   m / s
d) \[4 \pi\]   m / s

Answer: c
Explanation:
q13

4. A S.H.M. has amplitude ‘a’ and time period T. The maximum velocity will be
a) \[\frac{4a}{T}\]
b) \[\frac{2a}{T}\]
c) \[2 \pi\sqrt{\frac{ a}{T}}\]
d) \[\frac{2 \pi a}{T}\]

Answer: d
Explanation:
q14

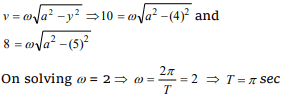
5. A body is executing S.H.M. When its displacement from the mean position is 4 cm and 5 cm, the corresponding velocity of the body is 10 cm/sec and 8 cm/sec. Then the time period of the body is
a) \[2 \pi \]  sec
b) \[ \pi/2\]  sec
c) \[ \pi\]  sec
d) \[3 \pi/ 2\]  sec

Answer: c
Explanation:
q15

6. A particle has simple harmonic motion. The equation of its motion is \[x=5\sin\left(4t-\frac{\pi}{6}\right)\]
, where x is its displacement. If the displacement of the particle is 3 units, then it velocity is
a) \[\frac{2\pi}{3}\]
b) \[\frac{5\pi}{6}\]
c) 20
d) 16

Answer: d
Explanation:
q16

7. If a simple pendulum oscillates with an amplitude of 50 mm and time period of 2 sec, then its maximum velocity is
a) 0.10 m / s
b) 0.15 m / s
c) 0.8 m / s
d) 0.26 m / s

Answer: b
Explanation:
q17

8. If the displacement of a particle executing SHM is given by \[y = 0.30 sin\left(220 t + 0.64\right)\]
in metre, then the frequency and maximum velocity of the particle is
a) 35 Hz, 66 m / s
b) 45 Hz, 66 m / s
c) 58 Hz, 113 m / s
d) 35 Hz, 132 m / s

Answer: a
Explanation:
q18

9. The maximum velocity and the maximum acceleration of a body moving in a simple harmonic oscillator are 2m/s and 4 m/s2 . Then angular velocity will be
a) 3 rad/sec
b) 0.5 rad/sec
c) 1 rad/sec
d) 2 rad/sec

Answer: d
Explanation:
q19

10. If a particle under S.H.M. has time period 0.1 sec and amplitude \[2\times 10^{-3}m\]   . It has maximum velocity
a) \[\frac{\pi}{25}m/s\]
b) \[\frac{\pi}{26}m/s\]
c) \[\frac{\pi}{30}m/s\]
d) None of these

Answer: a
Explanation:
q20