Oscillations Questions and Answers Part-4

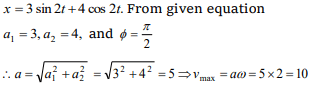
1. The displacement equation of a particle is \[x = 3sin2t+ 4 cos 2t\]     . The amplitude and maximum velocity will be respectively
a) 5, 10
b) 3,2
c) 4,2
d) 3,4

Answer: a
Explanation:
q31

2. Velocity at mean position of a particle executing S.H.M. is v, they velocity of the particle at a distance equal to half of the amplitude
a) 4 v
b) 2 v
c) \[\frac{\sqrt{3}}{2}v\]
d) \[\frac{\sqrt{3}}{4}v\]

Answer: c
Explanation:
q32

3.The instantaneous displacement of a simple pendulum oscillator is given by \[x=A cos \left(\omega t+\frac{\pi}{4}\right)\]     . Its speed will be maximum at time
a) \[\frac{\pi}{4\omega}\]
b) \[\frac{\pi}{2\omega}\]
c) \[\frac{\pi}{\omega}\]
d) \[\frac{2\pi}{\omega}\]

Answer: a
Explanation:
q33
q33a

4. If a hole is bored along the diameter of the earth and a stone is dropped into hole
a) The stone reaches the centre of the earth and stops there
b) The stone reaches the other side of the earth and stops there
c) The stone executes simple harmonic motion about the centre of the earth
d) The stone reaches the other side of the earth and escapes into space

Answer: c
Explanation:
q34

5. The acceleration of a particle in S.H.M. is
a) Always zero
b) Always constant
c) Maximum at the extreme position
d) Maximum at the equilibrium position

Answer: c
Explanation:
q35

6. The amplitude of a particle executing S.H.M. with frequency of 60 Hz is 0.01 m. The maximum value of the acceleration of the particle is
a) \[144\pi^{2}\]   \[m/sec^{2}\]
b) 144 \[m/sec^{2}\]
c) \[\frac{144}{\pi^{2}}\]   \[m/sec^{2}\]
d) 288 \[\pi^{2}m/sec^{2}\]

Answer: a
Explanation:
q36

7. A small body of mass 0.10 kg is executing S.H.M. of amplitude 1.0 m and period 0.20 sec. The maximum force acting on it is
a) 98.596 N
b) 985.96 N
c) 100.2 N
d) 76.23 N

Answer: a
Explanation:
q37

8. A body executing simple harmonic motion has a maximum acceleration equal to 24 metres/ \[sec^{2}\]   and maximum velocity equal to 16 metres/sec . The amplitude of the simple harmonic motion is
a) \[\frac{32}{3}metres \]
b) \[\frac{3}{32}metres \]
c) \[\frac{1024}{9}metres \]
d) \[\frac{64}{9}metres \]

Answer: a
Explanation:
q38

9. For a particle executing simple harmonic motion, which of the following statements is not correct
a) The total energy of the particle always remains the same
b) The restoring force of always directed towards a fixed point
c) The restoring force is maximum at the extreme positions
d) The acceleration of the particle is maximum at the equilibrium position

Answer: d
Explanation:
q39

10. A particle of mass 10 grams is executing simple harmonic motion with an amplitude of 0.5 m and periodic time of \[\left(\pi/5\right)\] seconds. The maximum value of the force acting on the particle is
a) 25 N
b) 5 N
c) 2.5 N
d) 0.5 N

Answer: d
Explanation:
q40