Oscillations Questions and Answers Part-8

1. Displacement between maximum potential energy position and maximum kinetic energy position for a particle executing S.H.M. is
a) -a
b) +a
c) \[\pm a\]
d) \[\pm \frac{a}{4}\]

Answer: c
Explanation:
q71
q71a

2.When a mass M is attached to the spring of force constant k, then the spring stretches by l. If the mass oscillates with amplitude l, what will be maximum potential energy stored in the spring
a) \[\frac{kl}{2}\]
b) 2 kl
c) \[\frac{1}{2}Mgl\]
d) Mgl

Answer: c
Explanation:
q72

3.The potential energy of a simple harmonic oscillator when the particle is half way to its end point is (where E is the total energy)
a) \[\frac{1}{8}E\]
b) \[\frac{1}{4}E\]
c) \[\frac{1}{2}E\]
d) \[\frac{2}{3}E\]

Answer: b
Explanation:
q73

4. A body executes simple harmonic motion. The potential energy (P.E.), the kinetic energy (K.E.) and total energy (T.E.) are measured as a function of displacement x. Which of the following statements is true
a) P.E. is maximum when x = 0
b) K.E. is maximum when x = 0
c) T.E. is zero when x = 0
d) K.E. is maximum when x is maximum

Answer: b
Explanation: In S.H.M., at mean position i.e. at x = 0 kinetic energy will be maximum and pE will be minimum. Total energy is always constant.

5.If <E> and <U> denote the average kinetic and the average potential energies respectively of mass describing a simple harmonic motion, over one period, then the correct relation is
a) <E> = <U>
b) <E> = 2<U>
c) <E> = – 2<U>
d) <E> = – <U>

Answer: a
Explanation:
q75

6.The total energy of a particle, executing simple harmonic motion is
a) \[\propto x\]
b) \[\propto x^{2}\]
c) Independent of x
d) \[\propto x^{1/2}\]

Answer: c
Explanation:
q76

7. The kinetic energy of a particle executing S.H.M. is 16 J when it is at its mean position. If the mass of the particle is 0.32 kg, then what is the maximum velocity of the particle
a) 5m / s
b) 15m / s
c) 10 m / s
d) 20 m / s

Answer: c
Explanation:
q77

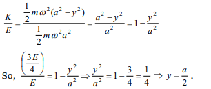
8. A particle starts simple harmonic motion from the mean position. Its amplitude is a and total energy E. At one instant its kinetic energy is 3 E / 4. Its displacement at that instant is
a) \[a/\sqrt{2}\]
b) \[a/2\]
c) \[\frac{a}{\sqrt{3/2}}\]
d) \[a/\sqrt{3}\]

Answer: b
Explanation:
q78

9. A particle executes simple harmonic motion with a frequency f . The frequency with which its kinetic energy oscillates is
a) f/2
b) f
c) 2 f
d) 4 f

Answer: c
Explanation:
q79

10. The amplitude of a particle executing SHM is made three-fourth keeping its time period constant. Its total energy will be
a) \[\frac{E}{2}\]
b) \[\frac{3}{4}E\]
c) \[\frac{9}{16}E\]
d) None of these

Answer: c
Explanation:
q80