Oscillations Questions and Answers Part-6

1. The total energy of a particle executing S.H.M. is proportional to
a) Displacement from equilibrium position
b) Frequency of oscillation
c) Velocity in equilibrium position
d) Square of amplitude of motion

Answer: d
Explanation:
q51

2.A particle executes simple harmonic motion along a straight line with an amplitude A. The potential energy is maximum when the displacement is
a) \[\pm A\]
b) Zero
c) \[\pm \frac{A}{2}\]
d) \[\pm \frac{A}{\sqrt{2}}\]

Answer: a
Explanation:
q52

3.A particle is vibrating in a simple harmonic motion with an amplitude of 4 cm. At what displacement from the equilibrium position, is its energy half potential and half kinetic
a) 1cm
b) \[\sqrt{2}cm\]
c) 3 cm
d) \[2\sqrt{2}cm\]

Answer: d
Explanation:
q53

4. For a particle executing simple harmonic motion, the kinetic energy K is given by \[K=K_{0}\cos^{2}\omega t\]    . The maximum value of potential energy is
a) \[K_{0}\]
b) Zero
c) \[\frac{K_{0}}{2}\]
d) Not obtainable

Answer: a
Explanation:
q54

5. The potential energy of a particle with displacement X is U(X). The motion is simple harmonic, when (K is a positive constant)
a) \[U=-\frac{KX^{2}}{2}\]
b) \[U=KX^{2}\]
c) \[U=K\]
d) \[U=KX\]

Answer: a
Explanation:
q55

6. The kinetic energy and potential energy of a particle executing simple harmonic motion will be equal, when displacement (amplitude = a) is
a) \[\frac{a}{2}\]
b) \[a\sqrt{2}\]
c) \[\frac{a}{\sqrt{2}}\]
d) \[\frac{a\sqrt{2}}{3}\]

Answer: c
Explanation:
q56

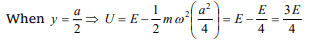
7. The total energy of the body executing S.H.M. is E. Then the kinetic energy when the displacement is half of the amplitude, is
a) \[\frac{E}{2}\]
b) \[\frac{E}{4}\]
c) \[\frac{3 E}{4}\]
d) \[\frac{\sqrt{3}}{4}E\]

Answer: c
Explanation:
q57
q57a

8. The potential energy of a particle executing S.H.M. is 2.5 J, when its displacement is half of amplitude. The total energy of the particle be
a) 18 J
b) 10 J
c) 12 J
d) 2.5 J

Answer: b
Explanation:
q58

9.The angular velocity and the amplitude of a simple pendulum is \[\omega\] and a respectively. At a displacement X from the mean position if its kinetic energy is T and potential energy is V, then the ratio of T to V is
a) \[X^{2}\omega^{2}/\left(a^{2}-X^{2}\omega^{2}\right)\]
b) \[X^{2}/\left(a^{2}-X^{2}\right)\]
c) \[\left(a^{2}-X^{2}\omega^{2}\right)/X^{2}\omega^{2}\]
d) \[\left(a^{2}-X^{2}\right)/X^{2}\]

Answer: d
Explanation:
q59

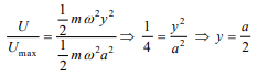
10. When the potential energy of a particle executing simple harmonic motion is one-fourth of its maximum value during the oscillation, the displacement of the particle from the equilibrium position in terms of its amplitude a is
a) \[a/4\]
b) \[a/3\]
c) \[a/2\]
d) \[2a/3\]

Answer: c
Explanation:
q60