Chemical Kinetics Questions and Answers Part-4

1. For a first-order reaction, the half life period is independent of
a) initial concentration
b) cube root of initial concentration
c) first power of final concentration
d) square root of final concentration

Answer: a
Explanation: t1/2 for 1st order is independent of initial concentration

2. For a first order reaction, the plot of log K against 1/T is a straight line. The slope of the line is equal to
a) \[-\frac{E_{a}}{R}\]
b) \[-\frac{2.303}{E_{a}R}\]
c) \[-\frac{E_{a}}{2.303}\]
d) \[\frac{-E_{a}}{2.303R}\]

Answer: d
Explanation:
q32

3. For a first order reaction, a plot of log (a – x) against time is a straight line with a negative slope equal to
a) \[\frac{-K}{2.303}\]
b) – 2.303 k
c) \[\frac{2.303}{K}\]
d) \[-\frac{E_{a}}{2.303 R}\]

Answer: a
Explanation:
q33

4. A first order reaction does not depend upon
a) volume
b) pressure
c) temperature
d) All of these

Answer: d
Explanation: Order of reaction is independent of given factors

5. \[2A\rightarrow B+C\]    , would be a zero order reaction when
a) the rate of reaction is proportional to square of conc. of A
b) the rate of reaction remains same at any conc. of A
c) the rate remains unchanged at any conc. of B and C
d) the rate of reaction doubles if conc. of B is increased to double

Answer: b
Explanation: For zero order the rate does not change with concentration

6. Which of the following is correct for a first order reaction?
a) \[t_{1/2}\propto a\]
b) \[t_{1/2}\propto 1/a\]
c) \[t_{1/2}\propto a^{0}\]
d) \[t_{1/2}\propto 1/a^{2}\]

Answer: c
Explanation:
q36

7. Order of reaction is decided by
a) temperature
b) mechanism of reaction as well as relative concentration of reactants
c) molecularity
d) pressure

Answer: b
Explanation: The order of a chemical reaction is given by concentration of reactants appearing in the lowest step

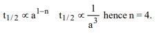
8. Half-life of a reaction is found to be inversely proportional to the cube of initial concentration. The order of reaction is
a) 4
b) 3
c) 5
d) 2

Answer: a
Explanation:
q38

9. The reaction \[L\rightarrow M\]   is started with 10.0 g of L. After 30 and 90 minutes 5.0 g and 1.25 g of L respectively are left. The order of the reaction is
a) 0
b) 1
c) 2
d) 3

Answer: b
Explanation:
q39

10. If initial concentration is reduced to 1/4th in a zero order reaction, the time taken for half the rection to complete
a) remains same
b) becomes 4 times
c) becomes one-fourth
d) doubles

Answer: c
Explanation:
q40