Electrostatic Potential and Capacitance Questions and Answers Part-1

1. The capacity of a parallel plate condenser is 5 \[\mu\] F. When a glass plate is placed between the plates of the conductor, its potential becomes 1 / 8th of the original value. The value of dielectric constant will be
a) 1.6
b) 5
c) 8
d) 40

Answer: c
Explanation:
q1

2. A capacitor is charged by using a battery which is then disconnected. A dielectric slab is then slipped between the plates, which results in
a) Reduction of charge on the plates and increase of potential difference across the plates
b) Increase in the potential difference across the plate, reduction in stored energy, but no change in the charge on the plates
c) Decrease in the potential difference across the plates, reduction in the stored energy, but no change in the charge on the plates
d) None of the above

Answer: c
Explanation:
q2

3. The energy of a charged capacitor is given by the expression (q = charge on the conductor and C = its capacity)
a) \[\frac{q^{2}}{2C}\]
b) \[\frac{q^{2}}{C}\]
c) 2qC
d) \[\frac{q}{2C^{2}}\]

Answer: a
Explanation:
q3

4. The capacity of a condenser is \[4 \times 10^{-6}\]   farad and its potential is 100 volts. The energy released on discharging it fully will be
a) 0.02 Joule
b) 0.04 Joule
c) 0.025 Joule
d) 0.05 Joule

Answer: a
Explanation:
q4

5. The insulated spheres of radii R1 and R2 having charges Q1 and Q2 respectively are connected to each other. There is
a) No change in the energy of the system
b) An increase in the energy of the system
c) Always a decrease in the energy of the system
d) A decrease in the energy of the system unless Q1R2 = Q2R1

Answer: d
Explanation:
q5

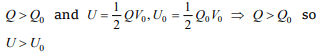
6. Which one statement is correct ? A parallel plate air condenser is connected with a battery. Its charge, potential, electric field and energy are Qo, Vo, Eo and Uo respectively. In order to fill the complete space between the plates a dielectric slab is inserted, the battery is still connected. Now the corresponding values Q, V, E and U are in relation with the initially stated as
a) Q > Qo
b) V > Vo
c) U > Uo
d) Both a and c

Answer: d
Explanation: Capacitance will be increased when a dielectric is introduced in the capacitor but potential difference will remain the same because battery is still connected. So according to q = CV, charge will increase i.e
q6

7. In a charged capacitor, the energy resides
a) The positive charges
b) Both the positive and negative charges
c) The field between the plates
d) Around the edge of the capacitor plates

Answer: c
Explanation: The field between the plates

8. The energy stored in a condenser of capacity C which has been raised to a potential V is given by
a) \[\frac{1}{2} CV\]
b) \[\frac{1}{2} CV^{2}\]
c) CV
d) \[\frac{1}{2VC}\]

Answer: b
Explanation:
q8

9. If two conducting spheres are separately charged and then brought in contact
a) The total energy of the two spheres is conserved
b) The total charge on the two spheres is conserved
c) Both the total energy and charge are conserved
d) The final potential is always the mean of the original potentials of the two spheres

Answer: b
Explanation: Law of conservation of charge.

10. Two insulated charged spheres of radii 20 cm and 25 cm respectively and having an equal charge Q are connected by a copper wire, then they are separated
a) Both the spheres will have the same charge Q
b) Charge on the 20 cm sphere will be greater than that on the 25 cm sphere
c) Charge on the 25 cm sphere will be greater than that on the 20 cm sphere
d) Charge on each of the sphere will be 2Q

Answer: c
Explanation:
q10