Electrostatic Potential and Capacitance Questions and Answers Part-17

1. When a lamp is connected in series with capacitor, then
a) Lamp will not glow
b) Lamp will burst out
c) Lamp will glow normally
d) None of these

Answer: a
Explanation: When a lamp is connected to D.C. line with a capacitor. If will form an open circuit. Hence, the lamp will not glow

2. If the potential of a capacitor having capacity of \[6\mu F\]  is increased from 10 V to 20 V, then increase in its energy will be
a) \[12\times 10^{-6}J\]
b) \[9\times 10^{-4}J\]
c) \[4\times 10^{-6}J\]
d) \[4\times 10^{-9}J\]

Answer: b
Explanation:
q162

3. A \[4\mu F\]  condenser is charged to 400 V and then its plates are joined through a resistance. The heat produced in the resistance is
a) 0.16 J
b) 0.32 J
c) 0.64 J
d) 1.28 J

Answer: b
Explanation:
q163

4. A parallel plate capacitor having a plate separation of 2 mm is charged by connecting it to a 300 V supply. The energy density is
a) 0.01 \[J/m^{3}\]
b) 0.1 \[J/m^{3}\]
c) 1.0 \[J/m^{3}\]
d) 10 \[J/m^{3}\]

Answer: b
Explanation:
q164

5. The capacity of an air condenser is 2.0 \[\mu F\]  . If a medium is placed between its plates. The capacity becomes 12 \[\mu F\]  . The dielectric constant of the medium will be
a) 5
b) 4
c) 3
d) 6

Answer: d
Explanation:
q165

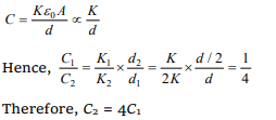
6.If the distance between the plates of parallel plate capacitor is halved and the dielectric constant of dielectric is doubled, then its capacity will
a) Increase by 16 times
b) Increase by 4 times
c) Increase by 2 times
d) Remain the same

Answer: b
Explanation:
q166

7. Two metallic spheres of radii 1 cm and 2 cm are given charges \[ 10^{-2}C\]   and \[5\times 10^{-2}C\]   respectively. If they are connected by a conducting wire, the final charge on the smaller sphere is
a) \[3\times 10^{-2}C\]
b) \[1\times 10^{-2}C\]
c) \[4\times 10^{-2}C\]
d) \[2\times 10^{-2}C\]

Answer: d
Explanation:
q167

8. The potentials of the two plates of capacitor are +10V and – 10 V. The charge on one of the plates is 40 C. The capacitance of the capacitor is
a) 2 F
b) 4 F
c) 0.5 F
d) 2.5 F

Answer: a
Explanation:
q168

9. The potential to which a conductor is raised, depends on
a) The amount of charge
b) Geometry and size of the conductor
c) Both (a) and (b)
d) Only on (a)

Answer: c
Explanation: V = Q / C
Q = the amount of charge
C = capacitance which depends on geometry and size of conductor.

10.Two identical capacitors are joined in parallel, charged to a potential V and then separated and then connected in series i.e. the positive plate of one is connected to negative of the other
a) The charges on the free plates connected together are destroyed
b) The charges on the free plates are enhanced
c) The energy stored in the system increases
d) The potential difference in the free plates becomes 2V

Answer: d
Explanation:
q170