1. A light bulb, a capacitor and a battery are connected
together as shown here, with switch S initially open. When
the switch S is closed, which one of the following is true
    
a)	The bulb will light up for an instant when the capacitor
starts charging 
b)	The bulb will light up when the capacitor is fully
charged 
c)	The bulb will not light up at all 
d)	The bulb will light up and go off at regular intervals 
      
  
Explanation: Initially when key is closed, the capacitor acts as short-circuit, so bulb will light up. But finally the capacitor becomes fully charged, so it will act as open circuit, so bulb will not glow
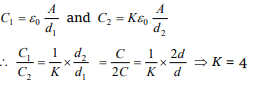
2. A parallel plate capacitor has a capacity C . The separation
between the plates is doubled and a dielectric medium is
introduced between the plates. If the capacity now
becomes 2C , the dielectric constant of the medium is 
a)  2 
b)	1 
c)	4 
d)	8 
Explanation:
3.The diameter of each plate of an air capacitor is 4cm . To
make the capacity of this plate capacitor equal to that of 20 cm diameter sphere, the distance between the plates
will be 
a)  \[4\times 10^{-3}m\] 
b)	\[1\times 10^{-3}m\]
c)	1 cm 
d)	\[1\times 10^{-3}cm\] 
Explanation:
4. A spherical condenser has inner and outer spheres of radii
a and b respectively. The space between the two is filled
with air. The difference between the capacities of two
condensers formed when outer sphere is earthed and when
inner sphere is earthed will be 
a)  zero 
b)	\[4\pi\epsilon_{0}a\] 
c)	\[4\pi\epsilon_{0}b\] 
d)	\[4\pi\epsilon_{0}a\left(\frac{b}{b-a}\right)\] 
Explanation:
5.  The expression for the capacity of the capacitor formed by
compound dielectric placed between the plates of a parallel
plate capacitor as shown in figure, will be (area of plate
 = A ) 
    
a) \[\frac{\epsilon_{0}A}{\left(\frac{d_{1}}{k_{1}}+\frac{d_{2}}{k_{2}}+\frac{d_{3}}{k_{3}}\right)}\] 
b)	\[\frac{\epsilon_{0}A}{\left(\frac{d_{1}+d_{2}+d_{3}}{k_{1}+k_{2}+k_{3}}\right)}\] 
c)	\[\frac{\epsilon_{0}A(k_{1}k_{2}k_{3})}{d_{1}d_{2}d_{3}}\] 
d)	\[\epsilon_{0}\left(\frac{AK_{1}}{d_{1}}+\frac{AK_{2}}{d_{2}}+\frac{AK_{3}}{d_{3}}\right)\] 
Explanation: \[\frac{\epsilon_{0}A}{\left(\frac{d_{1}}{k_{1}}+\frac{d_{2}}{k_{2}}+\frac{d_{3}}{k_{3}}\right)}\]
6.The intensity of electric field at a point between the plates
of a charged capacitor 
a)  Is directly proportional to the distance between the
plates 
b)	Is inversely proportional to the distance between the
plates 
c)	Is inversely proportional to the square of the distance
between the plates 
d)	Does not depend upon the distance between the plates 
Explanation: Electric field between the plates of parallel plate capacitor is uniform and it doesn't depend upon distance.
7. The capacity of a condenser in which a dielectric of
dielectric constant 5 has been used, is C . If the dielectric is
replaced by another with dielectric constant 20, the
capacity will become 
a)  \[\frac{C}{4}\] 
b)	4C 
c)	\[\frac{C}{2}\] 
d)	2C 
Explanation:
8.  A capacitor when filled with a dielectric K = 3 has charge
\[Q_{0}\] , voltage \[V_{0}\] and field \[E_{0}\] . If the dielectric is replaced
with another one having K = 9 the new values of charge,
voltage and field will be respectively 
a)  \[3Q_{0},3V_{0},3E_{0}\] 
b)	\[Q_{0},3V_{0},3E_{0}\] 
c)	\[Q_{0},\frac{V_{0}}{3},3E_{0}\] 
d)	\[Q_{0},\frac{V_{0}}{3},\frac{E_{0}}{3}\] 
Explanation:
9. A charge of \[ 10^{-9}C\]   is placed on each of the 64 identical
drops of radius 2cm . They are then combined to form a
bigger drop. Find its potential 
a) \[7.2\times 10^{3}V\] 
b)	\[7.2\times 10^{2}V\] 
c)	\[1.44\times 10^{2}V\] 
d)	\[1.44\times 10^{3}V\] 
Explanation:
10. 125 identical drops each charged to the same potential of
50 volts are combined to form a single drop. The potential
of the new drop will be
a)  50 V 
b)	250 V 
c)	500 V 
d)	1250 V 
Explanation: