Electrostatic Potential and Capacitance Questions and Answers Part-10

1. A parallel plate capacitor has circular plates of 0.08m radius and \[1.0 \times10^{-3}m\]   separation. If a P.D. of 100 volt is applied, the charge will be
a) \[1.8 \times10^{-10}C\]
b) \[1.8 \times10^{-8}C\]
c) \[1.8 \times10^{-20}C\]
d) None of these

Answer: b
Explanation:
q91

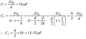
2. The capacity of a parallel plate condenser is \[10\mu F\]   without dielectric. Dielectric of constant 2 is used to fill half the distance between the plates, the new capacitance in \[\mu F\]   is
a) 10
b) 20
c) 15
d) 13.33

Answer: d
Explanation:
q92

3. The energy stored in the condenser is
a) QV
b) \[\frac{1}{2}QV\]
c) \[\frac{1}{2}C\]
d) \[\frac{1}{2}\frac{Q}{C}\]

Answer: b
Explanation:
q93

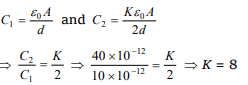
4. The capacitance of an air filled parallel plate capacitor is \[10\mu\mu F\]   . The separation between the plates is doubled and the space between the plates is then filled with wax giving the capacitance a new value of farads 40 \[\times\] 10-12 farads. The dielectric constant of wax is
a) 12.0
b) 1.00
c) 8.0
d) 4.2

Answer: c
Explanation:
q94

5. Two identical charged spherical drops each of capacitance C merge to form a single drop. The resultant capacitance is
a) Equal to 2C
b) Greater than 2 C
c) Less than 2C but greater than C
d) Less than C

Answer: c
Explanation:
q95

6.A condenser having a capacity 2.0 micro farad is charged to 200 volts and then the plates of the capacitor are connected to a resistance wire. The heat produced in joules will be
a) \[4 \times10^{4}J\]
b) \[4 \times10^{10}J\]
c) \[4 \times10^{-2}J\]
d) \[2 \times10^{-2}J\]

Answer: c
Explanation:
q96

7. The radius of a metallic sphere if its capacitance is 1/9 F , is
a) \[10^{6}m\]
b) \[10^{7}m\]
c) \[10^{9}m\]
d) \[10^{8}m\]

Answer: c
Explanation:
q97

8. The ratio of charge to potential of a body is known as
a) Capacitance
b) Conductance
c) Inductance
d) Resistance

Answer: a
Explanation: Capacitance

9. If the capacity of a spherical conductor is 1 picofarad, then its diameter, would be
a)\[1.8 \times10^{-3}m\]
b) \[18 \times10^{-3}m\]
c) \[1.8 \times10^{-5}m\]
d) \[1.8 \times10^{-7}m\]

Answer: b
Explanation:
q99
q99a

10.A parallel plate air capacitor is charged to a potential difference of V. After disconnecting the battery, distance between the plates of the capacitor is increased using an insulating handle. As a result, the potential difference between the plates
a) Decreases
b) Increases
c) Becomes zero
d) Does not change

Answer: b
Explanation:
q100