Electrostatic Potential and Capacitance Questions and Answers Part-11

1. A \[10 pF\]  capacitor is connected to a 50 V battery. How much electrostatic energy is stored in the capacitor
a) \[1.25 \times10^{-8}J\]
b) \[2.5 \times10^{-7}J\]
c) \[3.5 \times10^{-5}J\]
d) \[4.5 \times10^{-2}J\]

Answer: a
Explanation:
q101

2. If a slab of insulating material \[4 \times10^{-3}m\]     thick is introduced between the plates of a parallel plate capacitor, the separation between plates has to be increased by \[3.5 \times10^{-3}m\]     to restore the capacity to original value. The dielectric constant of the material will be
a) 6
b) 8
c) 10
d) 12

Answer: b
Explanation:
q102

3.When a dielectric material is introduced between the plates of a charged condenser then electric field between the plates
a) Decreases
b) Increases
c) Remain constant
d) First (b) then (a)

Answer: a
Explanation:
q103

4. A parallel plate capacitor has a plate separation of 0.01 mm and use a dielectric (whose dielectric strength is 19 KV/mm) as an insulator. The maximum potential difference that can be applied to the terminals of the capacitor is
a) 190 V
b) 290 V
c) 95 v
d) 350 v

Answer: a
Explanation:
q104

5. Sixty-four drops are jointed together to form a bigger drop. If each small drop has a capacitance C, a potential V, and a charge q, then the capacitance of the bigger drop will be
a) C
b) 4 C
c) 16 C
d) 64 C

Answer: b
Explanation:
q105

6.A 700pF capacitor is charged by a 50V battery. The electrostatic energy stored by it is
a) \[17.0\times10^{-8}J\]
b) \[13.6\times10^{-9}J\]
c) \[9.5\times10^{-9}J\]
d) \[8.7\times10^{-7}J\]

Answer: d
Explanation:
q106

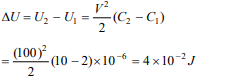
7. A variable condenser is permanently connected to a 100 V battery. If the capacity is changed from 2 \[\mu F\]   to 10 \[\mu F\]  , then change in energy is equal to
a) \[2\times10^{-2}J\]
b) \[2.5\times10^{-2}J\]
c) \[3.5\times10^{-2}J\]
d) \[4\times10^{-2}J\]

Answer: d
Explanation:
q107

8. A 12 pF capacitor is connected to a 50V battery. How much electrostatic energy is stored in the capacitor
a) \[1.5\times10^{-8}J\]
b) \[2.5\times10^{-7}J\]
c) \[3.5\times10^{-5}J\]
d) \[4.5\times10^{-2}J\]

Answer: a
Explanation:
q108

9. The capacity of a parallel plate condenser is 15 \[\mu F\]  , when the distance between its plates is 6 cm. If the distance between the plates is reduced to 2 cm, then the capacity of this parallel plate condenser will be
a) 15 \[\mu F\]
b) 30 \[\mu F\]
c) 45 \[\mu F\]
d) 60 \[\mu F\]

Answer: c
Explanation:
q109

10. When we touch the terminals of a high voltage capacitor, even after a high voltage has been cut off, then the capacitor has a tendency to
a) Restore energy
b) Discharge energy
c) Affect dangerously
d) Both (b) and (c)

Answer: d
Explanation: Both (b) and (c)