Electrostatic Potential and Capacitance Questions and Answers Part-14

1. Putting a dielectric substance between two plates of condenser, capacity, potential and potential energy respectively
a) Increase, decrease, decrease
b) Decrease, increase, increase
c) Increase, increase, increase
d) Decrease, decrease, decrease

Answer: a
Explanation: Increase, decrease, decrease

2. A thin metal plate P is inserted half way between the plates of a parallel plate capacitor of capacitance C in such a way that it is parallel to the two plates. The capacitance now becomes
a) C
b) C/2
c) 4C
d) None of these

Answer: a
Explanation: Thin metal plates doesn't affect the capacitance

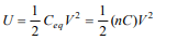
3.If there are n capacitors in parallel connected to V volt source, then the energy stored is equal to
a) CV
b) \[\frac{1}{2}nCV^{2}\]
c) \[CV^{2}\]
d) \[\frac{1}{2n}CV^{2}\]

Answer: b
Explanation:
q133

4.If n drops, each of capacitance C, coalesce to form a single big drop, then the ratio of the energy stored in the big drop to that in each small drop will be
a) n : 1
b) \[n^{1/3} : 1\]
c) \[n^{5/3} : 1\]
d) \[n^{2} : 1\]

Answer: c
Explanation:
q134

5. A conducting sphere of radius 10cm is charged \[10\mu C\]  . Another uncharged sphere of radius 20 cm is allowed to touch it for some time. After that if the sphere are separated, then surface density of charges, on the spheres will be in the ratio of
a) 1 : 4
b) 1 : 3
c) 2 : 1
d) 1 : 1

Answer: c
Explanation:
q135

6. 64 small drops of mercury, each of radius r and charge q coalesce to form a big drop. The ratio of the surface density of charge of each small drop with that of the big drop is
a) 1 : 64
b) 64 : 1
c) 4 : 1
d) 1 : 4

Answer: d
Explanation:
q136

7.Capacitance (in F) of a spherical conductor with radius 1m is
a) \[1.1\times 10^{-10}\]
b) \[ 10^{-6}\]
c) \[9\times 10^{-9}\]
d) \[ 10^{-3}\]

Answer: a
Explanation:
q137

8. A condenser has a capacity 2 \[\mu F\]   and is charged to a voltage of 50 V. The energy stored is
a) \[25\times 10^{5}\]   Joule
b) 25 Joule
c) \[25\times 10\]   erg
d) \[25\times 10^{3}\]   erg

Answer: d
Explanation:
q138

9. The energy required to charge a capacitor of 5 \[\mu F\]   by connecting a d.c. source of 20 kV is
a) 10 kJ
b) 5 kJ
c) 2 kJ
d) 1 kJ

Answer: d
Explanation:
q139

10. The capacitance of a parallel plate capacitor is 12 \[\mu F\] . If the distance between the plates is doubled and area is halved, then new capacitance will be
a) 8 \[\mu F\]
b) 6 \[\mu F\]
c) 4 \[\mu F\]
d) 3 \[\mu F\]

Answer: d
Explanation:
q140