1. The true statement is, on increasing the distance between
the plates of a parallel plate condenser
a) The electric intensity between the plates will decrease
b) The electric intensity between the plates will increase
c) The electric intensity between the plates will remain
unchanged
d) The P.D. between the plates will decrease
Explanation:
2. There is an air filled 1pF parallel plate capacitor. When the
plate separation is doubled and the space is filled with wax,
the capacitance increases to 2pF . The dielectric constant of
wax is
a) 2
b) 4
c) 6
d) 8
Explanation:
3.The capacity and the energy stored in a parallel plate
condenser with air between its plates are respectively \[C_{0}\]
and \[W_{0}\] . If the air is replaced by glass (dielectric constant =
5) between the plates, the capacity of the plates and the
energy stored in it will respectively be
a) \[5 C_{0},5 W_{0}\]
b) \[5 C_{0},\frac{W_{0}}{5} \]
c) \[\frac{C_{0}}{5},5 W_{0} \]
d) \[\frac{C_{0}}{5},\frac{W_{0}}{5} \]
Explanation:
4. Force of attraction between the plates of a parallel plate
capacitor is
a) \[\frac{q^{2}}{2\epsilon_{0}AK}\]
b) \[\frac{q^{2}}{\epsilon_{0}AK}\]
c) \[\frac{q}{2\epsilon_{0}A}\]
d) \[\frac{q^{2}}{2\epsilon_{0}A^{2}K}\]
Explanation:
5. A capacitor of capacity C is connected with a battery of
potential V in parallel. The distance between its plates is
reduced to half at once, assuming that the charge remains
the same. Then to charge the capacitance upto the potential
V again, the energy given by the battery will be
a) \[CV^{2}/4\]
b) \[CV^{2}/2\]
c) \[3CV^{2}/4\]
d) \[CV^{2}\]
Explanation:
6. N identical spherical drops charged to the same potential
V are combined to form a big drop. The potential of the
new drop will be
a) V
b) V/N
c) \[V\times N \]
d) \[V\times N^{2/3}\]
Explanation:
7. One plate of parallel plate capacitor is smaller than other,
then charge on smaller plate will be
a) Less than other
b) More than other
c) Equal to other
d) Will depend upon the medium between them
Explanation: Because the charges are produced due to induction and moreover the net charge of the condenser should be zero.
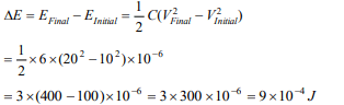
8. A \[6\mu F\] capacitor is charged from 10 volts to 20 volts.
Increase in energy will be
a) \[18\times 10^{-4}J\]
b) \[9\times 10^{-4}J\]
c) \[4.5\times 10^{-4}J\]
d) \[9\times 10^{-6}J\]
Explanation:
9. As shown in the figure, a very thin sheet of aluminium is
placed in between the plates of the condenser. Then the
capacity

a) Will increase
b) Will decrease
c) Remains unchanged
d) May increase or decrease
Explanation: Since aluminum is a metal, therefore field inside this will be zero. Hence it would not
10. Twenty seven drops of water of the same size are equally
and similarly charged. They are then united to form a bigger
drop. By what factor will the electrical potential changes
a) 9 times
b) 27 times
c) 6 times
d) 3 times
Explanation: