Electrostatic Potential and Capacitance Questions and Answers Part-4

1. The area of each plate of a parallel plate capacitor is 100 \[cm^{2}\]   and the distance between the plates is 1 mm . It is filled with mica of dielectric 6. The radius of the equivalent capacity of the sphere will be
a) 47.7 m
b) 4.77 m
c) 477 m
d) None of the above

Answer: b
Explanation:
q31

2. The respective radii of the two spheres of a spherical condenser are 12 cm and 9 cm. The dielectric constant of the medium between them is 6. The capacity of the condenser will be
a) 240 pF
b) \[240\mu F\]
c) 240 F
d) None of the above

Answer: a
Explanation:
q32
q32a

3.A parallel plate condenser is connected with the terminals of a battery. The distance between the plates is 6 mm . If a glass plate (dielectric constant K = 9) of 4.5 mm is introduced between them, then the capacity will become
a) 2 times
b) The same
c) 3 times
d) 4 times

Answer: c
Explanation:
q33

4. The radii of two metallic spheres P and Q are r1 and r2 respectively. They are given the same charge. If \[r_{1}> r_{2}\]  . then on connecting them with a thin wire, the charge will flow
a) From P to Q
b) From Q to P
c) Neither the charge will flow from P to Q nor from Q to P
d) The information is incomplete

Answer: d
Explanation:
q34

5. A capacitor of capacity C has charge Q and stored energy is W . If the charge is increased to 2Q , the stored energy will be
a) 2 W
b) W/ 2
c) 4 W
d) W/ 4

Answer: c
Explanation:
q35

6.Between the plates of a parallel plate condenser, a plate of thickness \[t_{1}\] and dielectric constant \[k_{1}\] is placed. In the rest of the space, there is another plate of thickness \[t_{2}\] and dielectric constant \[k_{2}\] . The potential difference across the condenser will be
a) \[\frac{Q}{A\epsilon_{0}}\left(\frac{t_{1}}{k_{1}}+\frac{t_{2}}{k_{2}}\right)\]
b) \[\frac{\epsilon_{0}Q}{A}\left(\frac{t_{1}}{k_{1}}+\frac{t_{2}}{k_{2}}\right)\]
c) \[\frac{Q}{A\epsilon_{0}}\left(\frac{k_{1}}{t_{1}}+\frac{k_{2}}{t_{2}}\right)\]
d) \[\frac{\epsilon_{0}Q}{A}\left(k_{1}t_{1}+k_{2}t_{2}\right)\]

Answer: a
Explanation:
q36

7. The distance between the plates of a parallel plate condenser is 4 mm and potential difference is 60 volts . If the distance between the plates is increased to 12 mm , then
a) The potential difference of the condenser will become 180 volts
b) The P.D. will become 20 volts
c) The P.D. will remain unchanged
d) The charge on condenser will reduce to one third

Answer: a
Explanation:
q37

8. The two metallic plates of radius r are placed at a distance d apart and its capacity is C . If a plate of radius r / 2 and thickness d of dielectric constant 6 is placed between the plates of the condenser, then its capacity will be
a) 7C / 2
b) 3C / 7
c) 7C / 3
d) 9C / 4

Answer: d
Explanation:
q38

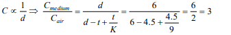
9. The distance between the plates of a parallel plate condenser is 8 mm and P.D. 120 volts . If a 6 mm thick slab of dielectric constant 6 is introduced between its plates, then
a) The charge on the condenser will be doubled
b) The charge on the condenser will be reduced to half
c) The P.D. across the condenser will be 320 volts
d) The P.D. across the condenser will be 45 volts

Answer: d
Explanation:
q39

10. In a parallel plate condenser, the radius of each circular plate is 12 cm and the distance between the plates is 5 mm . There is a glass slab of 3 mm thick and of radius 12 cm with dielectric constant 6 between its plates. The capacity of the condenser will be
a) \[144 \times 10^{-9}F\]
b) 40pF
c) 160 pF
d) \[1.44 \mu F\]

Answer: c
Explanation:
q40