1. The outer sphere of a spherical air capacitor is earthed. For
increasing its capacitance
a) Vacuum is created between two spheres
b) Dielectric material is filled between the two spheres
c) The space between two spheres is increased
d) The earthing of the outer sphere is removed
Explanation:
2. The plates of parallel plate capacitor are charged
upto 100 V . A 2 mm thick plate is inserted between the
plates. Then to maintain the same potential difference, the
distance between the plates is increased by 1.6 mm . The
dielectric constant of the plate is
a) 5
b) 1.25
c) 4
d) 2.5
Explanation:
3.Force acting upon a charged particle kept between the
plates of a charged condenser is F . If one plate of the
condenser is removed, then the force acting on the same
particle will become
a) 0
b) F/2
c) F
d) 2F
Explanation:
4.Two metallic charged spheres whose radii are 20 cm and
10 cm respectively, have each 150 micro-coulomb
positive charge. The common potential after they are
connected by a conducting wire is
a) \[9\times 10^{6}volts\]
b) \[4.5\times 10^{6}volts\]
c) \[1.8\times 10^{7}volts\]
d) \[13.5\times 10^{6}volts\]
Explanation:
5. The dielectric constant k of an insulator cannot be
a) 3
b) 6
c) 8
d) \[\infty\]
Explanation:
6.A frictionless dielectric plate S is kept on a frictionless
table T . A charged parallel plate capacitance C (of which
the plates are frictionless) is kept near it. The plate S is
between the plates. When the plate S is left between the
plates

a) It will remain stationary on the table
b) It is pulled by the capacitor and will pass on the other
end
c) It is pulled between the plates and will remain there
d) All the above statements are false
Explanation: The energy will be minimum in this case and every system tends to possess minimum energy.
7. A parallel plate capacitor is charged and the charging
battery is then disconnected. If the plates of the capacitor
are moved further apart by means of insulating handles,
then
a) The charge on the capacitor increases
b) The voltage across the plates decreases
c) The capacitance increases
d) The electrostatic energy stored in the capacitor increases
Explanation:
8. A capacitor with air as the dielectric is charged to a
potential of 100 volts . If the space between the plates is
now filled with a dielectric of dielectric constant 10, the
potential difference between the plates will be
a) 1000 volts
b) 100 volts
c) 10 volts
d) zero
Explanation:
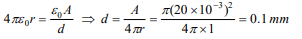
9. The distance between the circular plates of a parallel plate
condenser 40 mm in diameter, in order to have same
capacity as a sphere of radius 1 metre is
a) 0.01 mm
b) 0.1 mm
c) 1.0 mm
d) 10 mm
Explanation:
10. When a slab of dielectric material is introduced between the
parallel plates of a capacitor which remains connected to a
battery, then charge on plates relative to earlier charge
a) Is less
b) Is same
c) Is more
d) May be less or more depending on the nature of the
material introduced
Explanation: When dielectric is introduced, the capacitance will increase and as the battery remains connected, so the voltage will remain constant. Hence according to Q = CV, the charge will increase