Ionic Equilibrium Questions and Answers Part-15

1. The pKa of a weak acid, HA, is 4.80. The pKb of a weak base, BOH, is 4.78. The pH of an aqueous solution of the correspondng salt, BA, will be
a) 9.58
b) 4.79
c) 7.01
d) 9.22

Answer: c
Explanation:
q141

2. Solid \[Ba\left(NO_3\right)_2\]  is gradually dissolved in a 1.0 × 10– 4 M \[Na_2CO_3\]  solution. At what concentration of \[Ba^{2+}\] will a precipitate begin to form? (\[K_{sp}\]  for \[BaCO_3= 5.1 × 10^{-9})\]
a) \[5.1 × 10^{-5}M\]
b) \[8.1 × 10^{-8}M\]
c) \[8.1 × 10^{-7}M\]
d) \[4.1 × 10^{-5}M\]

Answer: a
Explanation:
q142

3.Three reactions involving \[H_{2}PO_4^-\]  are given below
(i) \[H_{3}PO_4+H_{2}O\rightarrow H_{3}O^+ +H_{2}PO_4^-\]
(ii) \[H_{2}PO_4^-+H_{2}O\rightarrow HPO_4^{2-} +H_{3}O^{+}\]
(iii) \[H_{2}PO_4^-+OH^{-}\rightarrow H_{3}PO_{4} +O^{2-}\]
In which of the above does \[H_{2}PO_4^-\]  act as an acid ?
a) (ii) only
b) (i) and (ii)
c) (iii) only
d) (i) only

Answer: a
Explanation:
q143

4. In aqueous solution the ionization constants for carbonic acid are \[K_{1}= 4.2 × 10^{-7}\]   and \[K_{2}= 4.8 × 10^{-11}\]  . Select the correct statement for a saturated 0.034 M solution of the carbonic acid.
a) The concentration of \[CO_3^{2-}\] is 0.034 M.
b) The concentration of \[CO_3^{2-}\] is greater than that of \[HCO_3^-\]
c) The concentrations of \[H^{+}\] and \[HCO_3^-\] are approximately equal
d) The concentration of \[H^{+}\] is double that of \[CO_3^{2-}\] .

Answer: c
Explanation:
q144
q144a

5. Solubility product of silver bromide is \[5.0 × 10^{-13}\]  . The quantity of potassium bromide (molar mass taken as 120 g \[mol^{-1})\]  to be added to 1 litre of 0.05 M solution of silver nitrate to start the precipitation of AgBr is
a) \[1.2 × 10^{-10}g\]
b) \[1.2 × 10^{-9}g\]
c) \[6.2 × 10^{-5}g\]
d) \[5.0 × 10^{-8}g\]

Answer: b
Explanation:
q145

6. At 25°C, the solubility product of \[Mg\left(OH\right)_{2}\]   is \[1.0 × 10^{-11}\]  . At which pH, will \[Mg^{2+}\] ions start precipitating in the form of \[Mg\left(OH\right)_{2}\]   from a solution of 0.001 M \[Mg^{2+}\] ions?
a) 9
b) 10
c) 11
d) 8

Answer: b
Explanation:
q146

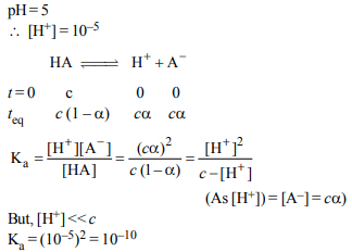
7. An acid HA ionises as \[HA\rightleftharpoons H^{+}+ A ^{-}\]
The pH of 1.0 M solution is 5. Its dissociation constant would be :
a) 5
b) \[5 \times10 ^{-8}\]
c) \[1 \times10 ^{-5}\]
d) \[1 \times10 ^{-10}\]

Answer: d
Explanation:
q147

8. The \[K_{sp}\] for \[Cr\left(OH\right)_{3}\]   is \[1.6 × 10^{-30}\]  . The solubility of this compound in water is :
a) \[\sqrt[4]{1.6 × 10^{-30}}\]
b) \[\sqrt[4]{1.6 × 10^{-30}/27}\]
c) \[1.6 × 10^{-30/27}\]
d) \[\sqrt{1.6 × 10^{-30}}\]

Answer: b
Explanation:
q148

9. A vessel at 1000 K contains \[CO_{2}\] with a pressure of 0.5 atm. Some of the \[CO_{2}\] is converted into CO on the addition of graphite. If the total pressure at equilibrium is 0.8 atm, the value of K is :
a) 1.8 atm
b) 3 atm
c) 0.3 atm
d) 0.18 atm

Answer: a
Explanation:
q149

10. The equilibrium constant \[\left(K_{c}\right)\] for the reaction \[N_{2}\left(g\right)+O_{2}\left(g\right)\rightarrow 2NO\left(g\right)\]
at temperature T is \[4 × 10^{-4}\]  . The value of \[K_{c}\] for the reaction \[NO\left(g\right)\rightarrow\frac{1}{2}N_{2}\left(g\right)+\frac{1}{2} O_{2}\left(g\right)\]
at the same temperature is:
a) 0.02
b) \[2.5 × 10^{2}\]
c) \[4 × 10^{-4}\]
d) 50.0

Answer: d
Explanation:
q150