Ionic Equilibrium Questions and Answers Part-16

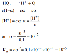
1. The pH of a 0.1 molar solution of the acid HQ is 3. The value of the ionization constant, \[K_{a}\] of the acid is :
a) \[3 × 10^{-1}\]
b) \[1 × 10^{-3}\]
c) \[1 × 10^{-5}\]
d) \[1 × 10^{-7}\]

Answer: c
Explanation:
q151

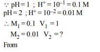
2. How many litres of water must be added to 1 litre an aqueous solution of HCl with a pH of 1 to create an aqueous solution with pH of 2 ?
a) 0.1 L
b) 0.9 L
c) 2.0 L
d) 9.0 L

Answer: d
Explanation:
q152
q152a

3. 2.5 ml of (2/5) M weak monoacidic base (\[K_{b}= 1 × 10^{-12}\]    at 25°) is titrated with (2/15) M HCl in water at 25°C. The concentration of H+ at equivalence point is (\[K_{w}= 1 × 10^{-14}\]    at 25°C)
a) \[3.7 × 10 ^{-14}M\]
b) \[3.2 × 10 ^{-7}M\]
c) \[3.2 × 10 ^{-2}M\]
d) \[2.7 × 10 ^{-2}M\]

Answer: d
Explanation:
q153
q153a
q153b

4. Solubility product constant \[\left(K_{sp}\right)\] of salts of types MX, \[MX_{2}\] and \[M_{3}X\]  at temperature T are \[4.0 × 10 ^{-8}\]   , \[3.2 × 10 ^{-14}\]   and \[2.7 × 10 ^{-15}\]   , respectively. Solubilities (mol \[dm^{-3})\] of the salts at temperature 'T' are in the order –
a) \[MX > MX_{2} > M_{3}X\]
b) \[ M_{3}X > MX_{2}>MX \]
c) \[ MX_{2} > M_{3}X>MX \]
d) \[MX > M_{3}X > MX_{2}\]

Answer: d
Explanation:
q154
q154a

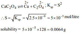
5.How many gms of \[CaC_{2} O_{4}\]   will dissolve in litre of saturated solution. \[K_{sp}\] of \[CaC_{2} O_{4}\]   is \[2.5 \times 10^{-9}mol^{2}lit ^{-2}\]
a) 0.0064 g
b) 0.0128 g
c) 0.0032 g
d) None of these

Answer: a
Explanation:
q155

6. For \[NH_{3},K_{b}=1.8 × 10^{-5}\]     and \[K_{a}\] for \[NH_4^+\]  would be
a) \[1.8 × 10^{-5}\]
b) \[5.56 × 10^{5}\]
c) \[1.8 × 10^{10}\]
d) \[5.56 × 10^{-10}\]

Answer: d
Explanation:
q156

7. The pH of a solution which is 0.1 M in HA and 0.5 M in NaA. \[K_{a}\] for HA is \[1.8 × 10^{-6}\]
a) 5.44
b) 6.44
c) 6.0
d) 4.73

Answer: b
Explanation:
q157

8. The pH of a solution obtained by mixing of 100.0 ml of 0.1 M HCl and 100 ml of 0.2 M \[NH_{3}\] , \[K_{b}\] for \[NH_{3}\]  is \[1.8 × 10^{-5}\]
a) 4.74
b) 9.26
c) Less than 7
d) None of these

Answer: b
Explanation:
q158

9. The percentage hydrolysis of 0.15 M solution of ammonium acetate, \[K_{a}\] for \[CH_{3}COOH\]   is \[1.8 × 10^{-5}\]  and \[K_{b}\] for \[NH_{3}\] is \[1.8 × 10^{-5}\]
a) 0.556
b) 4.72
c) 9.38
d) 5.56

Answer: a
Explanation:
q159

10. The solubility of \[CaF_{2}\]  in 0.01 M solution of NaF. The \[K_{sp}\] of \[CaF_{2}\]  is \[3.4× 10^{-11}\]
a) \[3.4\times10^{-7}\]  mol / l
b) \[3.4\times10^{-5}\]  mol / l
c) 3.4Mol / l
d) None of these

Answer: a
Explanation:
q160